LEMON Manuals: Even more car manuals for everyone
Home >> Acura >> 2000 >> NSX 3.2 NA2 >> Repair and Diagnosis >> Engine Performance >> System >> Engine Controls - System & Component Testing >> Idle Control Systems >> Alternator Fr Signal

Alternator Fr Signal

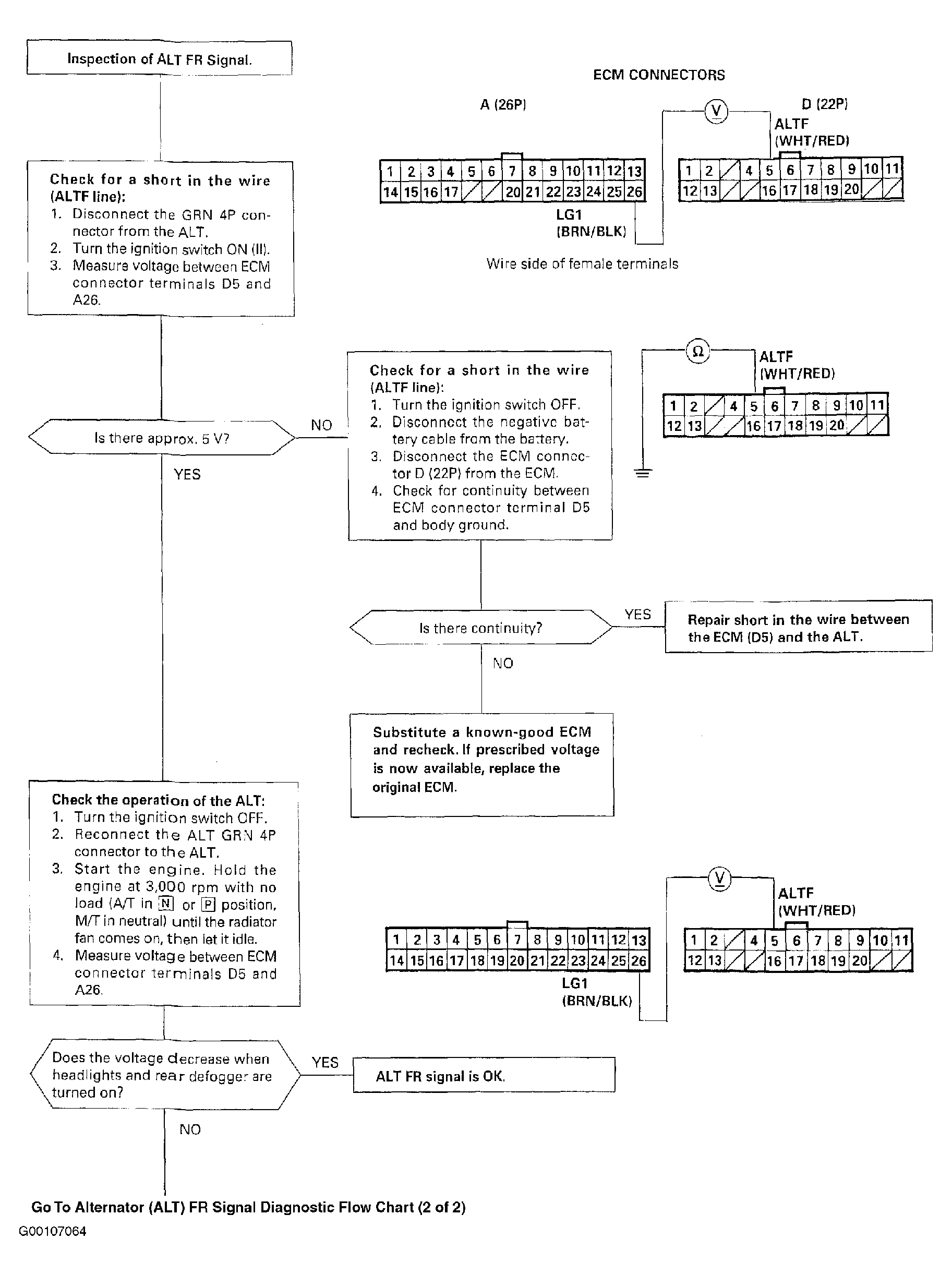
This signals the ECM when the alternator (ALT) is charging. For troubleshooting of the ALT FR signal circuit, see Fig 1 and Fig 2 .ECM is located behind passenger seat. See Figure .

Fig 1: Alternator (ALT) FR Signal Diagnostic Flow Chart (1 Of 2)
G00107064Courtesy of AMERICAN HONDA MOTOR CO., INC.
Fig 2: Alternator (ALT) FR Signal Diagnostic Flow Chart (2 Of 2)
G00107065Courtesy of AMERICAN HONDA MOTOR CO., INC.