LEMON Manuals: Even more car manuals for everyone
Home >> Acura >> 2000 >> NSX 3.2 NA2 >> Repair and Diagnosis >> Engine Performance >> System >> Engine Controls - System & Component Testing >> Idle Control Systems >> A/T Shift Position Signal

A/T Shift Position Signal

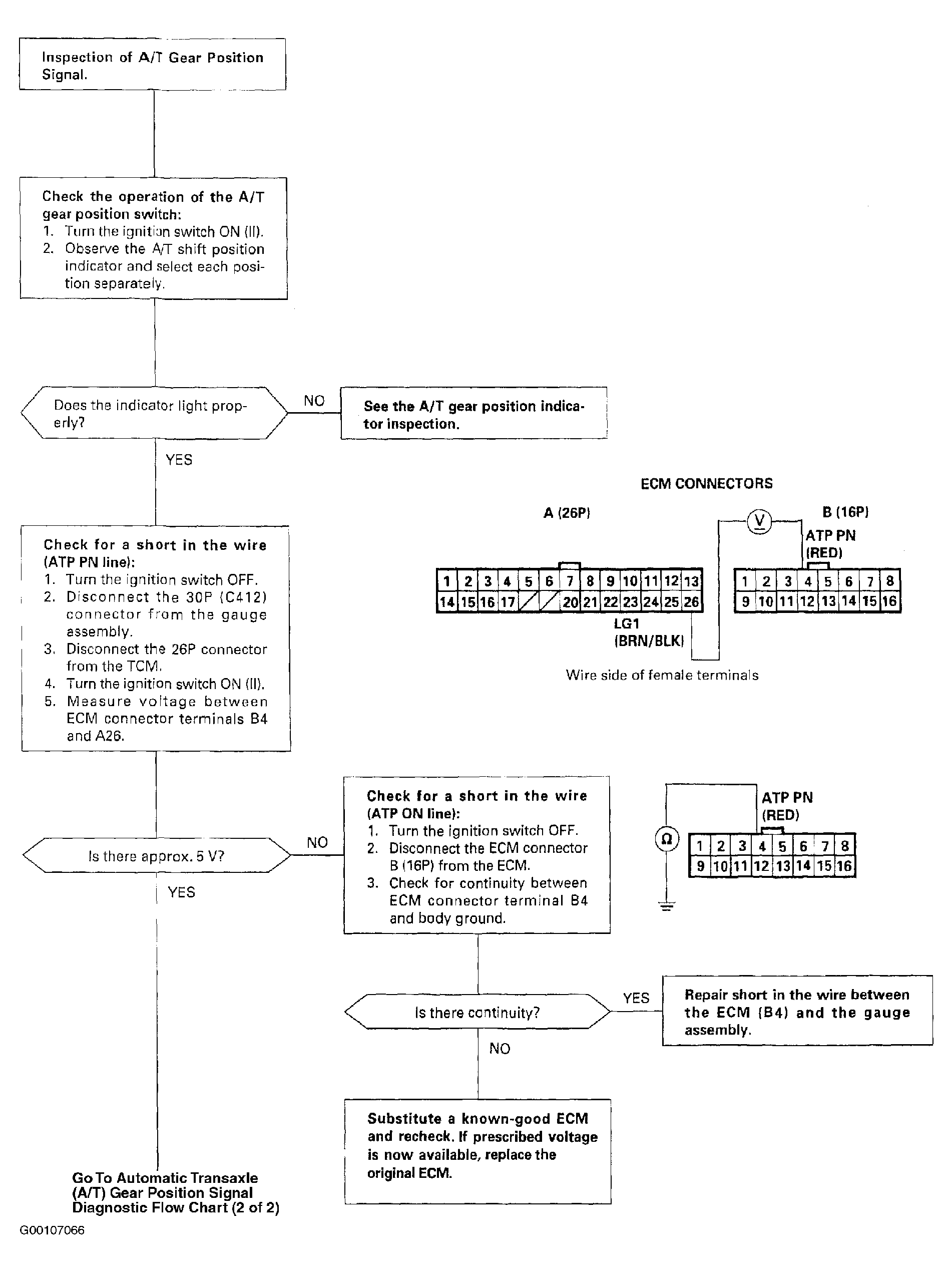
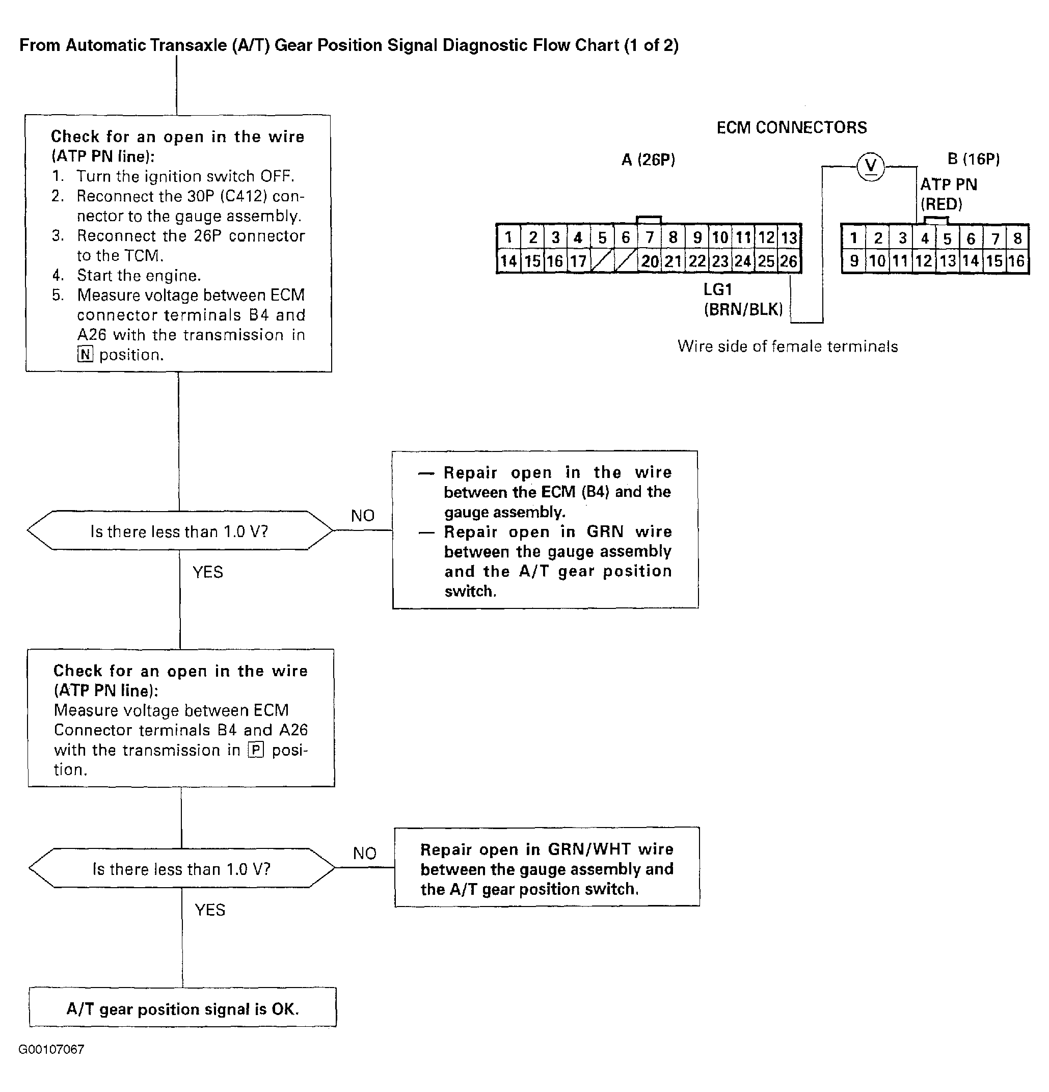
This signals the ECM when the transmission is in Neutral or Park. For troubleshooting of the A/T shift position signal circuit, see Fig 1 and Fig 2 .ECM is located behind passenger seat. See Figure .

Fig 1: Automatic Transaxle (A/T) Gear Position Signal Diagnostic Flow Chart (1 Of 2)
G00107066Courtesy of AMERICAN HONDA MOTOR CO., INC.
Fig 2: Automatic Transaxle (A/T) Gear Position Signal Diagnostic Flow Chart (2 Of 2)
G00107067Courtesy of AMERICAN HONDA MOTOR CO., INC.