LEMON Manuals: Even more car manuals for everyone
Home >> Volvo >> 2010 >> V70 Base, 3.2 96 >> Repair and Diagnosis >> Engine Performance >> Engine Control Systems >> Differential Electronic Module (DEM), Driver Information Module (Dim), Engine And Engine Control Module (ECM) - Design And Function >> Diagnosis (2008-2010) >> Diagnostics And Services >> Counter >> Counter VOLVO Diagnostics II

Counter VOLVO Diagnostics II

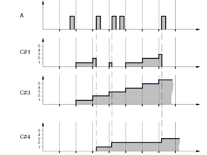
Fig 1: Counter Volvo Diagnostics II Graph
GLL101087Courtesy of VOLVO CARS CORPORATION

Graph A illustrates when in time that the malfunction occurs. In the illustration, the control module has detected a malfunction in the second driving cycle (graph's x-axis) and this malfunction then appears 4 more times, a total of 5 times. Counters can be read out for every diagnostic trouble code in the control module which have this introduced. Driving cycles are marked with vertical lines. A driving cycle often begins with ignition on and ends with ignition off.

Counter 1 (C#1).  Counts number of cycles performed since the malfunction was confirmed last  . As soon as a malfunction is detected and confirmed, the value is reset.

When the malfunction is both detected and disappears in the second driving cycle (graph A), counter 1 will count up to 1 first in the following driving cycle (driving cycle 3), that is, a driving cycle has been run through since the last time the malfunction was confirmed.

In driving cycle 4, the counter is updated again, now to value 2. Just after that, the malfunction is detected (graph A), the malfunction is confirmed and the counter's value is reset. This sequence is repeated once again in driving cycle 5.

With other words, one can say that if the value is zero, the malfunction exists now or has existed earlier in the current driving cycle. If the vehicle is restarted so that a new driving cycle is initiated (often requires ignition off and on again) in this position and the counter's value still is 0, then you probably have a permanent malfunction.

Values near zero indicate that the malfunction has been detected recently. It may also be that the malfunction exists but the diagnostic trouble code test has not started in these driving cycles, which means that the counter has not been reset. A high counter value indicates that the malfunction was last detected a number of driving cycles ago.

Counter 3 (C#3)  (see graph in, see Fig 1). Counts the number of driving cycles performed since the malfunction was confirmed the first  time. When a malfunction is confirmed the first time, the counter will count up by 1 for every subsequent driving cycle, regardless of if the malfunction is detected or not. Thus, the counter tracks the number of driving cycles since the malfunction was detected the first time. See graph in, see Fig 1 where the counter increases by 1 for every subsequent driving cycle and the value of the counter is finally 6.

A low value indicates that the malfunction was detected for the first time relatively recently. However, a high value indicates that a first detection was performed some time ago.

Counter 4 (C#4)  (see graph in, see Fig 1). Counts the number of driving cycles in which the malfunction has been confirmed since it was confirmed the first time. The graph shows that after the malfunction was detected the first time, the malfunction has been detected in 3 driving cycles. Thus, after the malfunction was detected the first time, another 6 driving cycles (counter 3), have passed and in these the malfunction has been detected 3 times (counter 3). Simplified, one can say that in this example, the malfunction has occurred/been detected in every other driving cycle, and the malfunction can be assessed as relatively frequent.

A certain indication of a malfunction's intensity can be obtained if you compare the value for counter 4 with counter 3. The closer the value for counter 4 the value is to the value of counter 3, the more frequent the malfunction.

If counters 3 and 4 have the same value, the malfunction has been detected in every driving cycle, which means that the malfunction is frequent.

Counter 5 (C#5).  The counter sums up the time in seconds that the control module has been operating  since the malfunction first was confirmed and the diagnostic trouble code was stored. The time that the control module has been operating is only counted when it is active, not in "sleep mode". The counter is not shown in the illustration.

Counter 6 (C#6).  The counter sums up the time in seconds that the diagnostic trouble code test has been in progress  since the malfunction first was confirmed and the diagnostic trouble code was stored. The counter is not shown in the illustration.

Counter 7 (C#7).  The counter sums up the time in seconds that malfunction has been confirmed  since it first was confirmed and the diagnostic trouble code was stored. The counter is not shown in the illustration.