LEMON Manuals: Even more car manuals for everyone
Home >> Volvo >> 2009 >> S80 Base >> Repair and Diagnosis (Single Page) >> Electrical >> Motors, Switches, Relays >> Accessory USB Unit (AUU) And Central Electronic Module (CEM) - Specifications, Other >> Central Electronic Module (CEM) (Late Version, Generation 2 2010, 2011-12) >> Description Of Reading Off Of Extended Diagnostic Trouble Code (DTC) Information >> Description Of Counter

Description Of Counter

Counter 
There are eight different counters that are stored individually for each diagnostic trouble code (DTC). For an intermittent malfunction, the values of the different counters can be studied to determine how intermittent the malfunction is. All counters do not need to be implemented in one control module, this varies from system to system. The possible counters are described below.
Counter  Function 
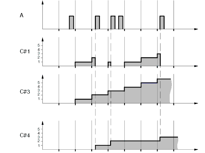
C#1 Counts the number of operating cycles since the malfunction was last  validated.
This information can be used to determine whether the malfunction is active during the current operating cycle or not.
The malfunction is present now if the value is zero.
C#2 Counts the number of operating cycles since the malfunction was last  validated, where test for the diagnostic trouble code was performed without the malfunction being detected and validated.
When a test is performed, no malfunction is detected, the counter will count up by 1 for each operating cycle.
C#3 Counts the number of operating cycles since the malfunction was validated the first time  .
For each completed operating cycle the counter will count up by 1.
C#4 Counts the number of operating cycles in which the malfunction was validated since it was first validated. Counts the number of times the malfunction has occurred since the first time.
C#5 Counts the number of warm-up cycles since the MIL-light has gone off.
C#6 The counter counts the number of internal detections of the malfunction that have been performed for the diagnostic trouble code. When this counter reaches + 127, the control module considers that the malfunction is active right now. When counter is at value -127 the malfunction is not active. The value is reset to zero at each new operating cycle. If the value increases toward +127 the control module has detected a malfunction and, for each internal test, the value counts up. When the malfunction is not active, the control module counts down to minimum -127.
Value can only be changed when the control module has started the test for the diagnostic trouble code.
The increments with which the control module counts up or down the value may vary between control modules.
C#7 Shows maximum value for current operating cycle.
C#8 Shows maximum value for current and/or earlier operating cycle.
Fig 1: Diagnostic Trouble Code (DTC) Counter Graph
GLL101086Courtesy of VOLVO CARS CORPORATION