LEMON Manuals: Even more car manuals for everyone
Home >> Toyota >> 2005 >> RAV4 Base, AWD, Automatic >> Repair and Diagnosis >> Body & Frame >> Windows >> Power Window Control System >> Troubleshooting

Power Window Control System: Troubleshooting

TROUBLESHOOTING CHART

Malfunction Symptoms Applicable Chart
Window does not move up and down with one-touch power window function (AUTO operation function). 1
During AUTO UP operation, window moves down. 2
Window does not move down even though something is caught between window and vehicle body. 3
Fig 1: Identifying Power Window Switch & Power Window Motor Connector Terminals
G02640925Courtesy of © TOYOTA, LICENSE AGREEMENT TMS1002
  1. Window does not move up and down with one-touch power window function. 
    Fig 2: Testing - Window Does Not Move Up And Down With One-Touch Power Window Function Flow Chart (1 Of 2)
    G02640926Courtesy of © TOYOTA, LICENSE AGREEMENT TMS1002
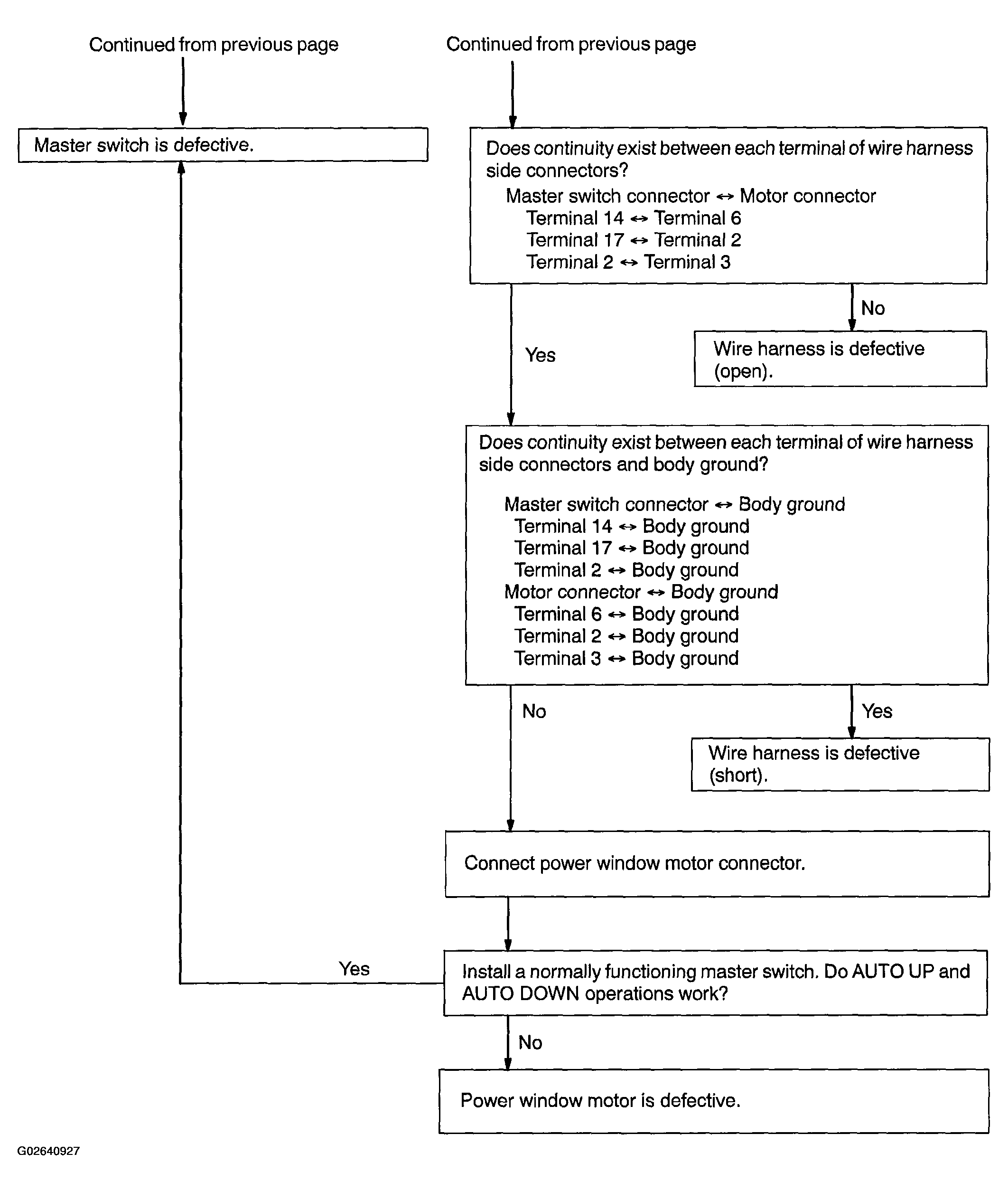
    Fig 3: Testing - Window Does Not Move Up And Down With One-Touch Power Window Function Flow Chart (2 Of 2)
    G02640927Courtesy of © TOYOTA, LICENSE AGREEMENT TMS1002
  2. During AUTO UP operation, window moves down. 
    Fig 4: Testing - AUTO UP Operation (Window Moves Down) - Flow Chart
    G02640928Courtesy of © TOYOTA, LICENSE AGREEMENT TMS1002
  3. Window does not move down even though something is caught between window and vehicle body. 
    Fig 5: Testing - Window Does Not Move Down (Jam Protection Operation) - Flow Chart
    G02926418Courtesy of © TOYOTA, LICENSE AGREEMENT TMS1002
    NOTE: For chart 1, see Fig 2
    NOTE: To reset power window motor, see ADJUSTMENT .