LEMON Manuals: Even more car manuals for everyone
Home >> Toyota >> 2004 >> Matrix Base, FWD, Automatic >> Repair and Diagnosis >> External Pages >> Different car >> Section 820 (Power Window Control System) >> Troubleshooting

Section 820 (Power Window Control System): Troubleshooting

WARNING: This page is about a different car, the 2003 Lexus IS 300. However, it is still accessible from the selected car via links, so may be relevant.
TROUBLESHOOTING

Malfunction symptoms Applicable chart
Driver's door does not operate. 1
Passenger's and all rear doors do not operate by using the switches at each seat. 2
Any of passenger's and rear doors does not operate by using the switches of each seat. 3
Passenger's and all rear doors are not controlled remotely by using the master switch. (Switches of each door can be operated.) 4
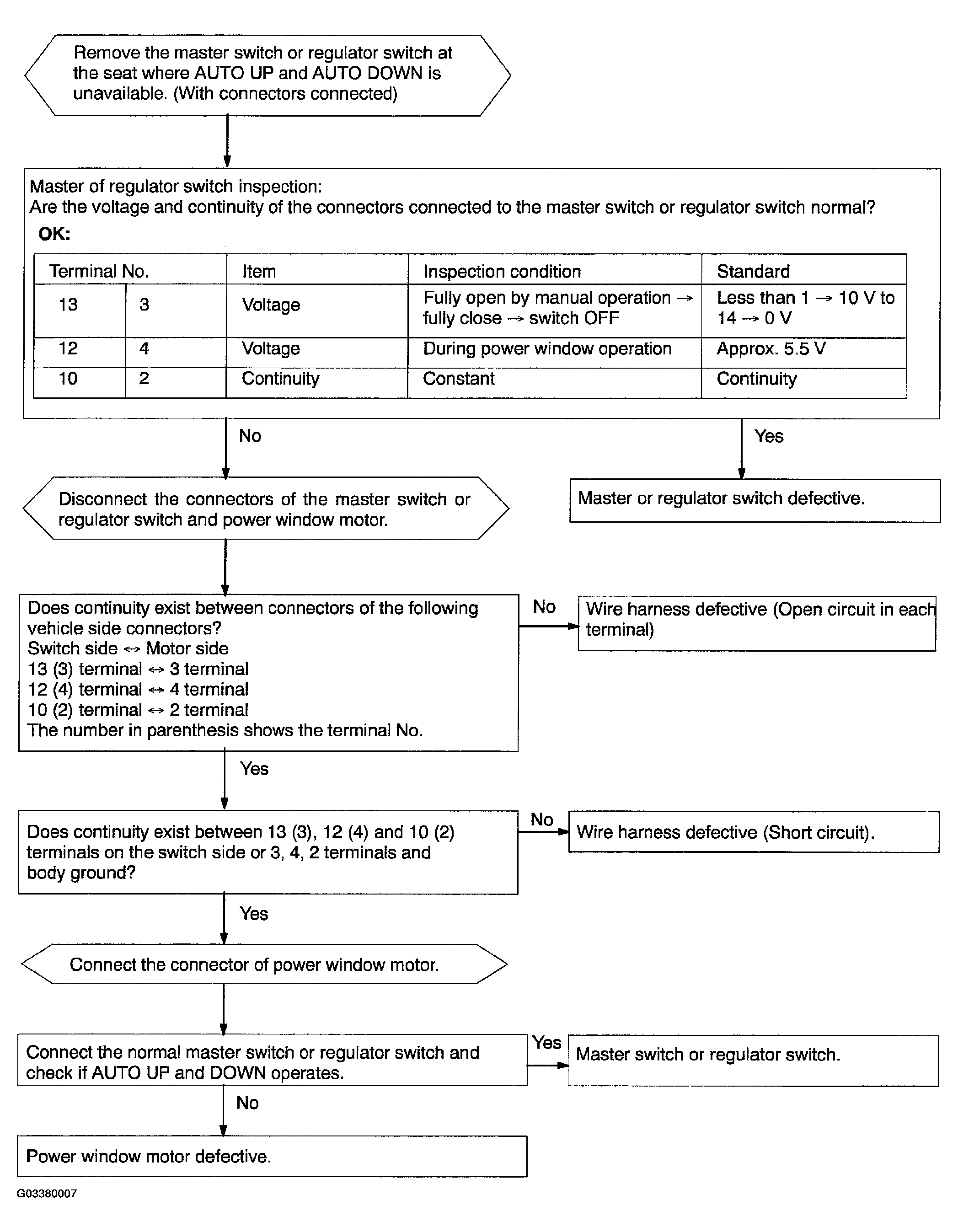
AUTO UP and AUTO DOWN does not operate. (Prepare a normal master switch.) 5
DOWN operation operates during door glass AUTO UP operation. 6
Even though a foreign object is caught, DOWN operation does not function. 7
After ignition switch has been turned to OFF by using a key, power window function does not operate. 8
  1. Driver's door does not operate. 
    Fig 1: Driver's Door Does Not Operate - Flow Chart
    G03380003Courtesy of © TOYOTA, LICENSE AGREEMENT TMS1002
  2. Passenger's and all rear doors do not operate by using the switches of each seat. 
    Fig 2: Passenger'S And All Rear Doors Do Not Operate By Using Switches Of Each Seat - Flow Chart
    G03380004Courtesy of © TOYOTA, LICENSE AGREEMENT TMS1002
  3. Any of passenger's and all rear doors does not operate by using the switches at each seat. 
    Fig 3: Any Of Passenger'S And All Rear Doors Does Not Operate By Using Switches At Each Seat - Flow Chart
    G03380005Courtesy of © TOYOTA, LICENSE AGREEMENT TMS1002
  4. Passenger's and all rear doors are not controlled remotely by using the master switch. (Switches at each door can be operated.) 
    Fig 4: Passenger'S And All Rear Doors Are Not Controlled Remotely By Using Master Switch - Flow Chart
    G03380006Courtesy of © TOYOTA, LICENSE AGREEMENT TMS1002
  5. AUTO UP and AUTO DOWN do not operate. (Prepare a normal master switch.) 
    Fig 5: AUTO UP And AUTO DOWN Do Not Operate (Prepare A Normal Master Switch) - Flow Chart
    G03380007Courtesy of © TOYOTA, LICENSE AGREEMENT TMS1002
  6. DOWN operates during door glass AUTO UP operation. 
    Fig 6: DOWN Operates During Door Glass AUTO UP Operation - Flow Chart
    G03380008Courtesy of © TOYOTA, LICENSE AGREEMENT TMS1002
  7. Even through a foreign object is caught, DOWN operation does not function. 
    Fig 7: Even Through A Foreign Object Is Caught, DOWN Operation Does Not Function - Flow Chart
    G03380009Courtesy of © TOYOTA, LICENSE AGREEMENT TMS1002
  8. After ignition switch has been turned OFF by using a key, power window function does not operate. 
    Fig 8: After Ignition Switch Has Been Turned OFF By Using A Key, Power Window Function Does Not Operate - Flow Chart
    G03380010Courtesy of © TOYOTA, LICENSE AGREEMENT TMS1002