LEMON Manuals: Even more car manuals for everyone
Home >> Toyota >> 2004 >> Matrix Base, FWD, Automatic >> Repair and Diagnosis >> External Pages >> Different car >> Section 236 (Wheel Alignment Specifications & Adjustment Procedures) >> CELICA >> Procedures >> Front Wheel Alignment

Front Wheel Alignment

WARNING: This page does not describe the selected car, but rather 16 other vehicles, including the 2002 Toyota Tundra, 2002 Toyota Tacoma, 2002 Toyota Sienna, 2002 Toyota Sequoia, and 2002 Toyota RAV4. However, it is still accessible from the selected car via links, so may be relevant.
  1. Measure vehicle height  .
      Fig 1: Measuring Vehicle Height
      G01056256Courtesy of © TOYOTA, LICENSE AGREEMENT TMS1002
    1. Vehicle height:
      Fig 2: Identifying Vehicle Height Specifications
      G01056255Courtesy of © TOYOTA, LICENSE AGREEMENT TMS1002
      NOTE: Before inspecting the wheel alignment, adjust the vehicle height to the specified value.

      If the vehicle height is not the specified value, try to adjust it by pushing down on or lifting the body.

  2. Install camber/caster/kingpin gauge or position vehicle on wheel alignment tester  .
    Fig 3: Install Camber/Caster/Kingpin Gauge
    G01056257Courtesy of © TOYOTA, LICENSE AGREEMENT TMS1002

    Follow the specific instructions of the equipment manufacturer.

  3. Inspect camber, caster and steering axis inclination  .
    1. Camber, caster and steering axis inclination:

      195/60R15, P195/60R15 tire:

      Fig 4: Identifying Camber, Caster & Steering Axis Inclination Specifications (195/60R15, P195/60R15)
      G01056258Courtesy of © TOYOTA, LICENSE AGREEMENT TMS1002

      205/55R15, P205/55R15 tire:

      Fig 5: Identifying Camber, Caster & Steering Axis Inclination Specifications (205/55R15, P205/55R15)
      G01056259Courtesy of © TOYOTA, LICENSE AGREEMENT TMS1002

      205/50R16 tire:

      Fig 6: Identifying Camber, Caster & Steering Axis Inclination Specifications (205/50R16)
      G01056260Courtesy of © TOYOTA, LICENSE AGREEMENT TMS1002

      If the caster and steering axis inclination are not within the specified values, after the camber has been correctly adjusted, recheck the suspension parts for damaged and/or worn out parts.

  4. Adjust camber  .
    NOTE: After the camber has been adjusted, inspect the toe-in.
    1. Remove the front wheel.
    2. Remove the 2 nuts on the lower side of the shock absorber.
      Fig 7: Loosening Lower Shock Absorber Nuts
      G01056261Courtesy of © TOYOTA, LICENSE AGREEMENT TMS1002
    3. Coat the threads of the nuts with engine oil.
    4. Temporarily install the 2 nuts.
    5. Adjust the camber by pushing or pulling the lower side of the shock absorber in the direction in which the camber adjustment is required.
      Fig 8: Using Lower Shock to Adjust Camber
      G01056262Courtesy of © TOYOTA, LICENSE AGREEMENT TMS1002
    6. Tighten the nuts.
      1. Torque: 153 N.m (1,560 kgf.cm, 113 ft.lbf) 
    7. Install the front wheel.
      1. Torque: 103 N.m (1,050 kgf.cm, 76 ft.lbf) 
    8. Check the camber.
      NOTE:
      • Try to adjust the camber to the center of the specified value.
      • Adjusting value for the set bolts is 6'- 30'(0.1°-0.5°).

      If the camber is not within the specified value, using the table in Fig 9, estimate how much additional camber adjustment will be required, and select the camber adjusting bolt.

      Fig 9: Displaying Camber Adjustment Bolt Table
      G01056263Courtesy of © TOYOTA, LICENSE AGREEMENT TMS1002
    9. Do steps  a through  h again. Between step  b and  c, replace 1 or 2 selected bolts.
      NOTE: When replacing the 2 bolts, replace 1 bolt for each time.
  5. Inspect toe-in  .
      Fig 10: Identifying Toe-In Measurements
      G01056265Courtesy of © TOYOTA, LICENSE AGREEMENT TMS1002
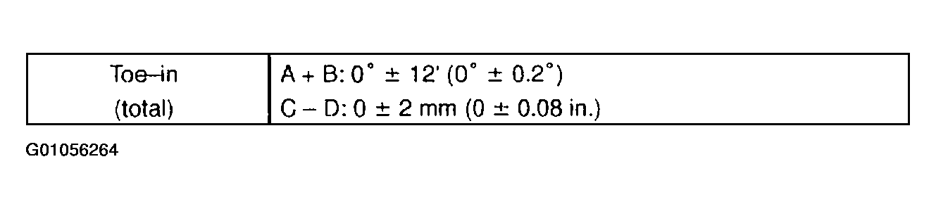
    1. Toe-in:
      Fig 11: Identifying Toe-In Specifications
      G01056264Courtesy of © TOYOTA, LICENSE AGREEMENT TMS1002

      If the toe-in is not within the specified value, adjust it at the rack ends.

  6. Adjust toe-in  .
    1. Remove the rack boot set clips.
    2. Loosen the tie rod end lock nuts.
      Fig 12: Adjusting Tie Rod Ends
      G01056266Courtesy of © TOYOTA, LICENSE AGREEMENT TMS1002
    3. Turn the right and left rack ends by an equal amount to adjust the toe-in.
      NOTE: Try to adjust the toe-in to the center of the specified value.
    4. Make sure that the lengths of the right and left rack ends are the same.
      1. Rack end length difference: 1.5 mm (0.059 in.) or less 
        Fig 13: Checking For Equal Rack End Lengths
        G01056267Courtesy of © TOYOTA, LICENSE AGREEMENT TMS1002
    5. Torque the tie rod end lock nuts.
      1. Torque: 74 N.m (750 kgf.cm, 54 ft.lbf) 
    6. Place the boots on the seats and install the clips.
      NOTE: Make sure that the boots are not twisted.
  7. Inspect wheel angle  .
      Fig 14: Identifying Wheel Turning Angles
      G01056271Courtesy of © TOYOTA, LICENSE AGREEMENT TMS1002
    1. Turn the steering wheel fully, and measure the turning angle.
      1. Wheel turning angle:

        195/60R15, P195/60R15 tire:

        Fig 15: Identifying Wheel Turning Specifications
        G01056268Courtesy of © TOYOTA, LICENSE AGREEMENT TMS1002

        205/55R15, P205/55R15 tire:

        Fig 16: Identifying Wheel Turning Specifications
        G01056269Courtesy of © TOYOTA, LICENSE AGREEMENT TMS1002

        205/50R16 tire:

        Fig 17: Identifying Wheel Turning Specifications
        G01056270Courtesy of © TOYOTA, LICENSE AGREEMENT TMS1002

        If the right and left inside wheel angles differ from the specified value, check the right and left rack end lengths.