LEMON Manuals: Even more car manuals for everyone
Home >> Toyota >> 2004 >> Matrix Base, FWD, Automatic >> Repair and Diagnosis >> External Pages >> Different car >> Section 236 (Wheel Alignment Specifications & Adjustment Procedures) >> CAMRY >> Procedures >> Rear Wheel Alignment

Rear Wheel Alignment

WARNING: This page does not describe the selected car, but rather 16 other vehicles, including the 2002 Toyota Tundra, 2002 Toyota Tacoma, 2002 Toyota Sienna, 2002 Toyota Sequoia, and 2002 Toyota RAV4. However, it is still accessible from the selected car via links, so may be relevant.
  1. Inspect tire  .
  2. Measure vehicle height (see step   MEASURE VEHICLE HEIGHT  ).
    NOTE: Before inspecting the wheel alignment, adjust the vehicle height to the specified value.
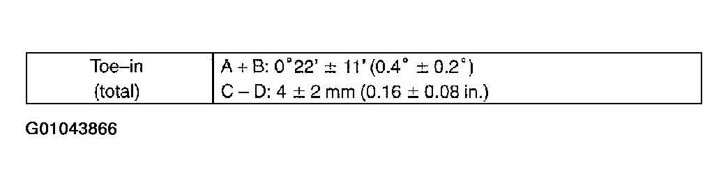
  3. Inspect toe-in  .
      Fig 1: Identifying Toe-In Measurements
      G01043867Courtesy of © TOYOTA, LICENSE AGREEMENT TMS1002
    1. Toe-in:
      Fig 2: Identifying Toe-In Equation Specifications
      G01043866Courtesy of © TOYOTA, LICENSE AGREEMENT TMS1002

      If the toe-in is not within the specified value, inspect and replace the suspension parts if necessary.

  4. Adjust toe-in  .
    1. Measure the lengths of the right and left No. 2 lower suspension arms.
        Fig 3: Measuring Rear Lower Suspension Arm Lengths
        G01043868Courtesy of © TOYOTA, LICENSE AGREEMENT TMS1002
      1. No. 2 lower suspension arm length difference: 1.0 mm (0.04 in.) or less 

      If the left-right difference is larger than 1.0 mm (0.04 in.), adjust it by following the procedures below.

    2. Loosen the lock nuts.
      Fig 4: Adjusting Rear Suspension Arm
      G01043869Courtesy of © TOYOTA, LICENSE AGREEMENT TMS1002
    3. Turn the right and left adjusting tube by an equal amount to adjust toe-in.
      NOTE:
      • Try to adjust the toe-in to the center value.
      • One turn of the each adjusting tube will adjust the toe-in by approximately 67' (1° 12', 10.8 mm, 0.425 in.).
    4. Torque the lock nut.
      1. Torque: 56 N.m (570 kgf.cm, 41 ft.lbf) 
    5. Inspect camber  .
      Fig 5: Identifying Camber Specifications
      G01043870Courtesy of © TOYOTA, LICENSE AGREEMENT TMS1002
      NOTE: Camber is not adjustable. If the measurement is not within the specification, inspect the suspension parts for damaged and/or worn-out parts and replace them if necessary.