LEMON Manuals: Even more car manuals for everyone
Home >> Toyota >> 2004 >> Matrix Base, FWD, Automatic >> Repair and Diagnosis >> External Pages >> Different car >> Section 172 (Remote Keyless Entry Systems) >> Trouble Shooting >> Pre-Check

Trouble Shooting: Pre-Check

WARNING: This page is about a different car, the 2002 Lexus GS 430 and 2002 Lexus GS 300. However, it is still accessible from the selected car via links, so may be relevant.

For pre-check, refer to the flowchart. See Fig 1-Fig 5 .

Fig 1: Identifying Wireless Function Pre-Check Flowchart (1 Of 5)
G00189837Courtesy of © TOYOTA, LICENSE AGREEMENT TMS1002
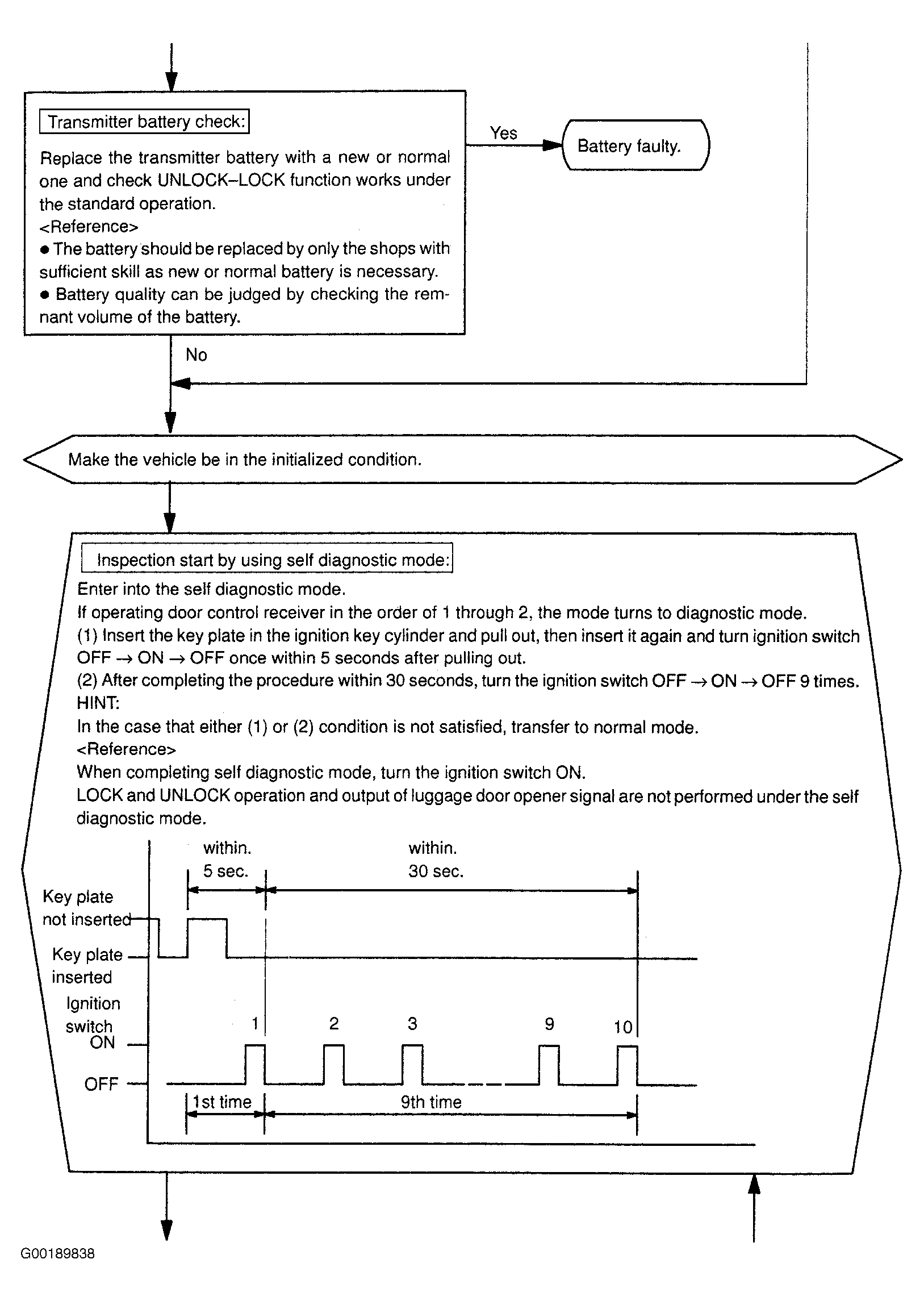
Fig 2: Identifying Wireless Function Pre-Check Flowchart (2 Of 5)
G00189838Courtesy of © TOYOTA, LICENSE AGREEMENT TMS1002
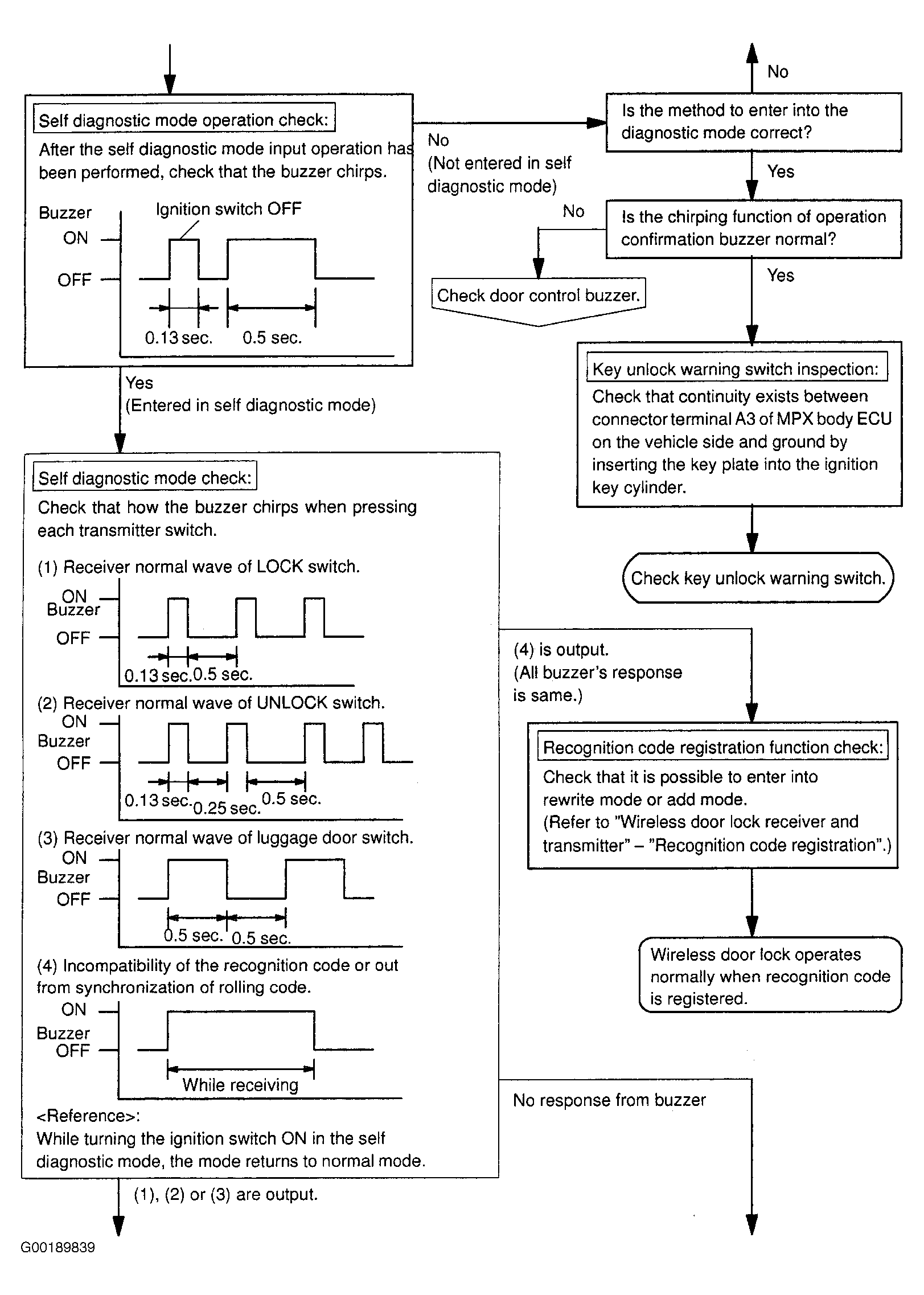
Fig 3: Identifying Wireless Function Pre-Check Flowchart (3 Of 5)
G00189839Courtesy of © TOYOTA, LICENSE AGREEMENT TMS1002
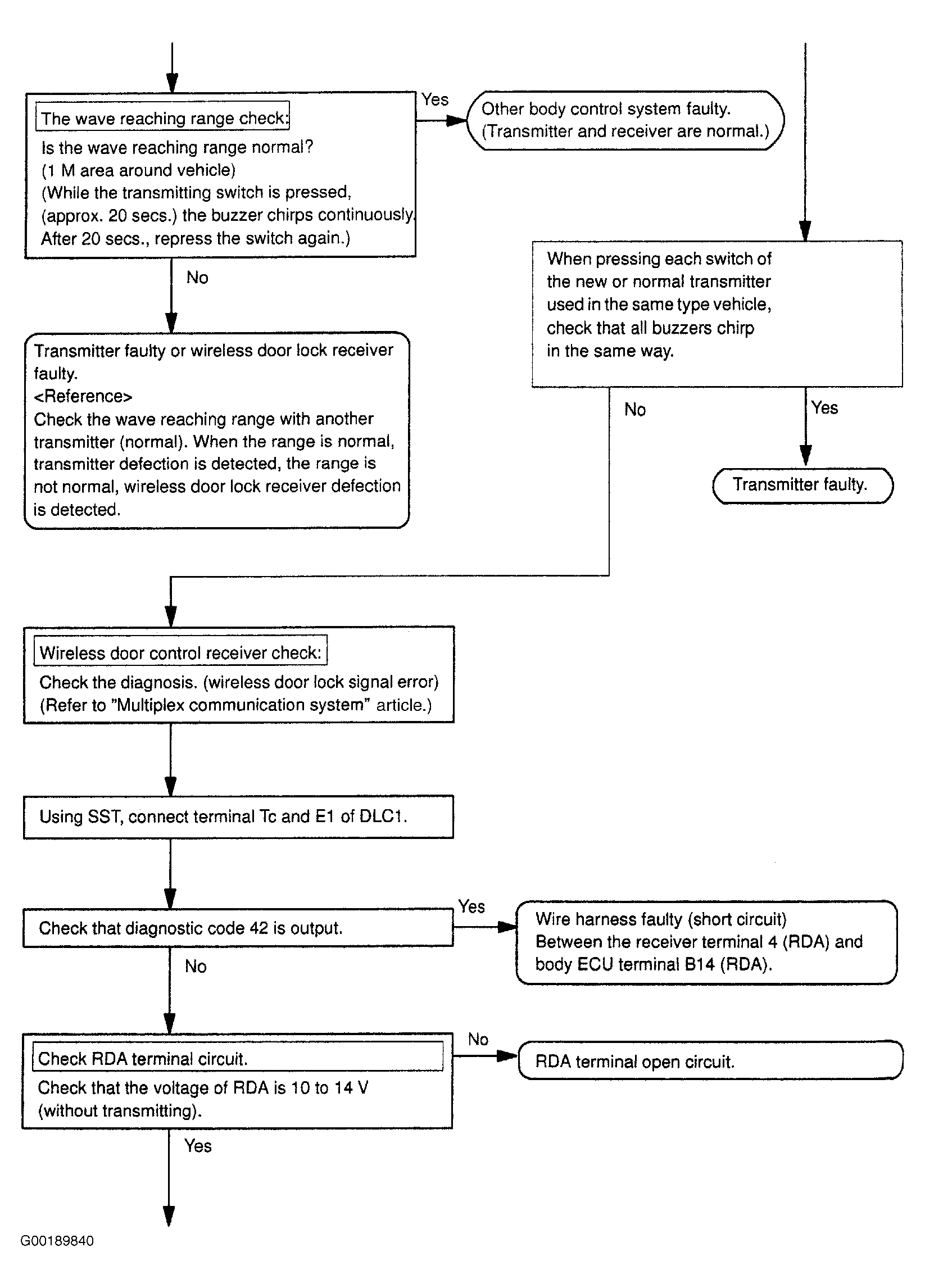
Fig 4: Identifying Wireless Function Pre-Check Flowchart (4 Of 5)
G00189840Courtesy of © TOYOTA, LICENSE AGREEMENT TMS1002
Fig 5: Identifying Wireless Function Pre-Check Flowchart (5 Of 5)
G00189841Courtesy of © TOYOTA, LICENSE AGREEMENT TMS1002