LEMON Manuals: Even more car manuals for everyone
Home >> Toyota >> 2004 >> Matrix Base, 4WD >> Repair and Diagnosis >> External Pages >> Different car >> Section 172 (Remote Keyless Entry Systems) >> Programming >> Remote Transmitter Recognition Code Registration

Remote Transmitter Recognition Code Registration

WARNING: This page is about a different car, the 2002 Lexus GS 430 and 2002 Lexus GS 300. However, it is still accessible from the selected car via links, so may be relevant.
NOTE: When replacing the door lock control receiver and transmitter, registration of the recognition code is necessary because they are provided as single components.
  1. Select which mode should be performed from the following modes:
    • Add Mode -  The add mode is used to retain codes already registered while you register new recognition codes. This mode is used when adding a transmitter. However, if the number of registered codes exceed 4 codes, previously registered codes are correspondingly erased in order, starting from the first registered code.
    • Rewrite Mode -  The rewrite mode is used to erase all previously registered codes and register only new recognition codes.
    • Prohibition Mode -  The prohibition mode is used to erase all registered codes and cancels the wireless door lock function. Use this mode when the transmitter is lost.
    • Confirmation Mode -  The confirmation mode is for confirming how many recognition codes are already registered before you register additional recognition codes.
  2. NOTE: When the procedure is out of the specified, the operation returns to normal operation. A maximum of 4 recognition codes can be registered.
    Fig 1: Identifying Recognition Code Registration Flowchart (1 Of 3)
    G00189842Courtesy of © TOYOTA, LICENSE AGREEMENT TMS1002
    Fig 2: Identifying Recognition Code Registration Flowchart (2 Of 3)
    G00189843Courtesy of © TOYOTA, LICENSE AGREEMENT TMS1002
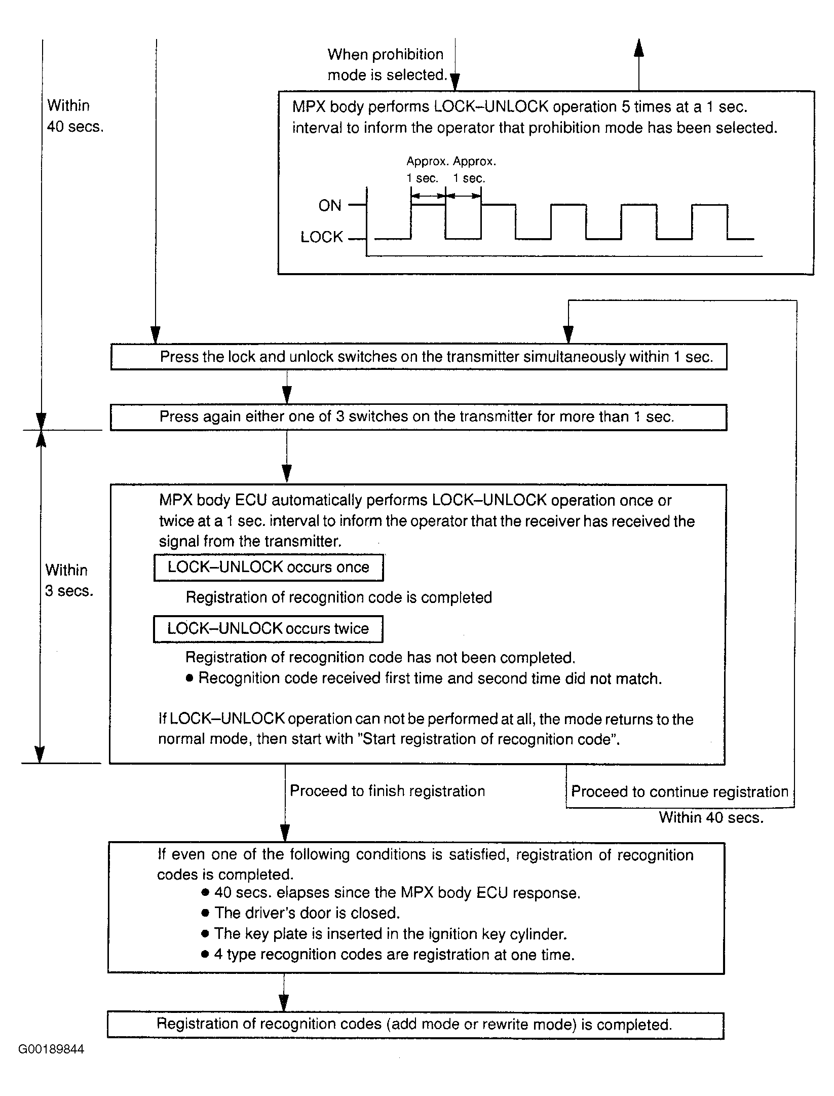
    Fig 3: Identifying Recognition Code Registration Flowchart (3 Of 3)
    G00189844Courtesy of © TOYOTA, LICENSE AGREEMENT TMS1002
  3. Register the transmitter recognition code at the wireless door lock control receiver. See Fig 1-Fig 3 .