LEMON Manuals: Even more car manuals for everyone
Home >> Toyota >> 2004 >> Matrix Base, 4WD >> Repair and Diagnosis >> External Pages >> Different car >> Section 1009 (Power Window Control System) >> Troubleshooting

Section 1009 (Power Window Control System): Troubleshooting

WARNING: This page is about a different car, the 2004 Lexus IS 300. However, it is still accessible from the selected car via links, so may be relevant.
SYMPTOM TABLE

Malfunction symptoms Applicable
Driver's door does not operate.  1
Passenger's and all rear doors do not operate by using the switches at each seat.  2
Any of passenger's and rear doors does not operate by using the switches of each seat.  3
Passenger's and all rear doors are not controlled remotely by using the master switch. (Switches of each door can be operated.)  4
AUTO UP and AUTO DOWN does not operate. (Prepare a normal master switch.)  5
DOWN operation operates during door glass AUTO UP operation.  6
Even though a foreign object is caught, DOWN operation does not function.  7
After ignition switch has been turned to OFF by using a key, power window function does not operate.  8
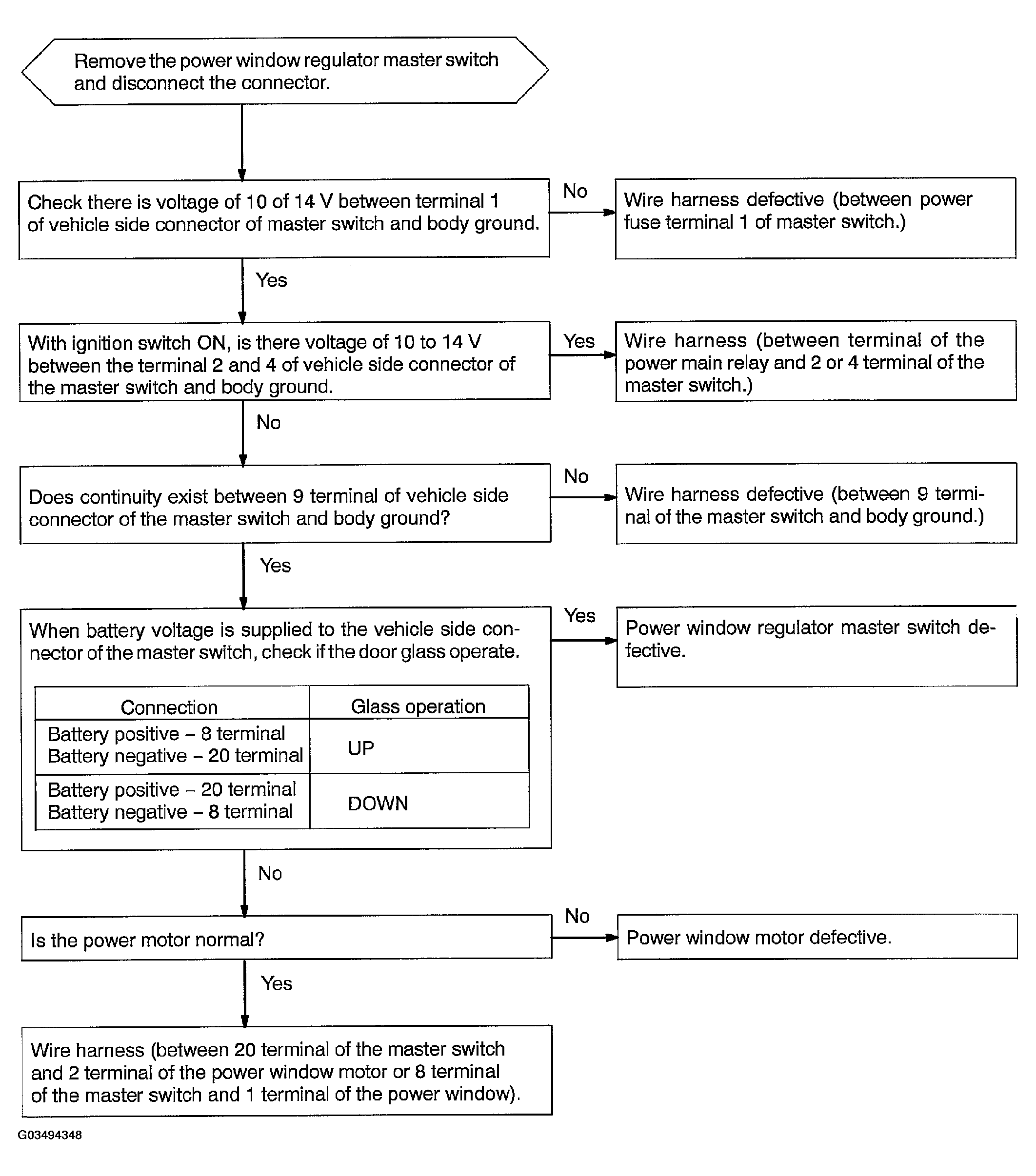
  1. Driver's door does not operate. 
    Fig 1: Driver's Door Does Not Operate Troubleshooting Chart
    G03494348Courtesy of © TOYOTA, LICENSE AGREEMENT TMS1002
  2. Passenger's and all rear doors do not operate by using the switches of each seat  .
    Fig 2: Passenger's & All Rear Doors Do Not Operate Using Switches Of Each Seat Troubleshooting Chart
    G03494349Courtesy of © TOYOTA, LICENSE AGREEMENT TMS1002
  3. Any of passenger's and all rear doors does not operate by using the switches at each seat. 
    Fig 3: Any Passenger's & All Rear Door Does Not Operate Using Switches At Each Seat Troubleshooting Chart
    G03494350Courtesy of © TOYOTA, LICENSE AGREEMENT TMS1002
  4. Passenger's and all rear doors are not controlled remotely by using the master switch. (Switches at each door can be operated.) 
    Fig 4: Passenger's & All Rear Door Are Not Control Remotely Using Master Switch Troubleshooting Chart
    G03494351Courtesy of © TOYOTA, LICENSE AGREEMENT TMS1002
  5. AUTO UP and AUTO DOWN do not operate. (Prepare a normal master switch.) 
    Fig 5: Auto Up & Down Do Not Operate Troubleshooting Chart
    G03494352Courtesy of © TOYOTA, LICENSE AGREEMENT TMS1002
  6. DOWN operates during door glass AUTO UP operation. 
    Fig 6: Down Operates During Door Glass Auto Up Operation Troubleshooting Chart
    G03494353Courtesy of © TOYOTA, LICENSE AGREEMENT TMS1002
  7. Even through a foreign object is caught, DOWN operation does not function. 
    Fig 7: Even Through Foreign Object Is Caught, Down Operation Does Not Function Troubleshooting Chart
    G03494354Courtesy of © TOYOTA, LICENSE AGREEMENT TMS1002
  8. After ignition switch has been turned OFF by using a key, power window function does not operate. 
    Fig 8: After Ignition Switch Turned Off Using Key, Power Window Function Does Not Operate Troubleshooting Chart
    G03494355Courtesy of © TOYOTA, LICENSE AGREEMENT TMS1002