LEMON Manuals: Even more car manuals for everyone
Home >> Toyota >> 1978 >> Pickup Base, Standard Trans >> Repair and Diagnosis >> Engine Performance >> Ignition System >> Spark Control/Delay Systems >> Testing >> Spark Control System >> Supra

Spark Control System: Supra

Connect vacuum gauge to distributor sub-diaphragm hose. With cold engine idling, vacuum reading should be high. With warm engine idling, vacuum should be low. Move vacuum gauge to the main diaphragm of distributor. Low vacuum should be present at idle; high vacuum at 2000 RPM.

Fig 1: 1977 Spark Control System Test (Federal 2F Engine)
G09350727Courtesy of © TOYOTA, LICENSE AGREEMENT TMS1002
Fig 2: 1977 Spark Control System Test (Federal 2F Engine - Cont.)
G09350728Courtesy of © TOYOTA, LICENSE AGREEMENT TMS1002
Fig 3: 1977 Spark Control System Test (Federal 2F Engine)
G09350729Courtesy of © TOYOTA, LICENSE AGREEMENT TMS1002
Fig 4: 1977 Spark Control System Test (High Altitude 2F Engine)
G09350730Courtesy of © TOYOTA, LICENSE AGREEMENT TMS1002
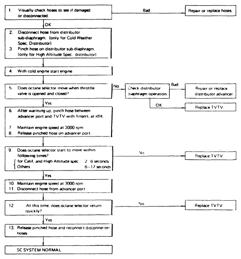
Fig 5: 1977 Spark Control System Test (2F Engine)
G09350731Courtesy of © TOYOTA, LICENSE AGREEMENT TMS1002
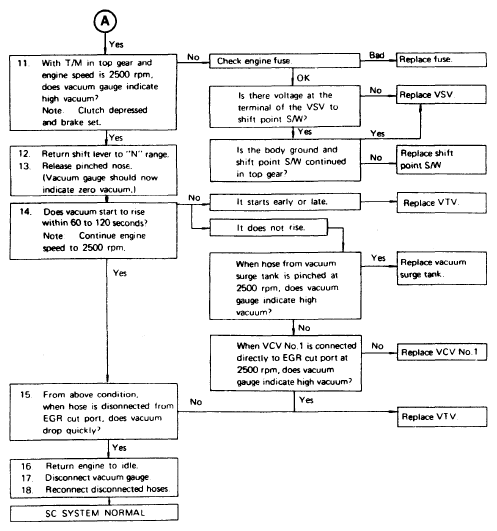
Fig 6: 1977 Spark Control System Test (3K-C Engine)
G09350732Courtesy of © TOYOTA, LICENSE AGREEMENT TMS1002
Fig 7: 1979 Celica, Corona & Pickup Spark Control System
G09350733Courtesy of © TOYOTA, LICENSE AGREEMENT TMS1002
Fig 8: 1979 Corolla 1200 Spark Control System
G09350734Courtesy of © TOYOTA, LICENSE AGREEMENT TMS1002
Fig 9: 1979 Corolla 1600 Spark Control System
G09350735Courtesy of © TOYOTA, LICENSE AGREEMENT TMS1002