LEMON Manuals: Even more car manuals for everyone
Home >> Subaru >> 2019 >> Ascent Base >> Repair and Diagnosis (Single Page) >> Electrical >> Gauges >> Multi-Function Display (Diagnostics) >> General Description >> System Block Diagram

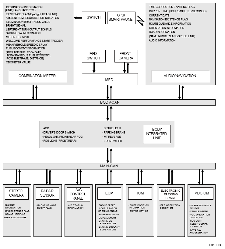
System Block Diagram

G13203448Courtesy of SUBARU OF AMERICA, INC.