LEMON Manuals: Even more car manuals for everyone
Home >> Subaru >> 2013 >> Tribeca >> Repair and Diagnosis >> Engine Performance >> System >> Diagnostic Trouble Code Detecting Criteria >> Diagnostic Trouble Code (DTC) Detecting Criteria >> DTC P2119 Throttle Actuator Control Throttle Body Range/Performance >> Diagnostic Method >> Details Of Judgment Value

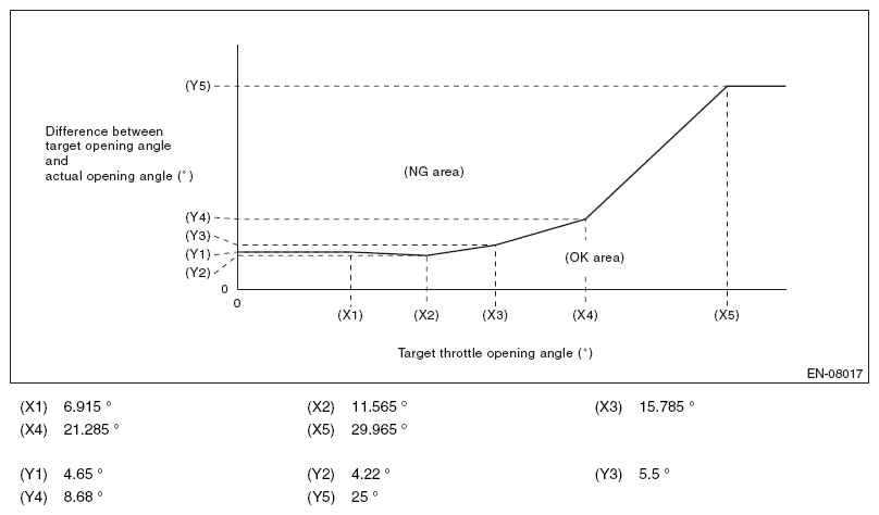
Details Of Judgment Value

Fig 1: Difference Between Target Opening Angle And Actual Opening Angle Versus Target Opening Angle Graph
G08544862Courtesy of SUBARU OF AMERICA, INC.