LEMON Manuals: Even more car manuals for everyone
Home >> Subaru >> 1994 >> Loyale Standard >> Repair and Diagnosis >> Engine Performance >> System >> Engine Controls - Tests W/Codes >> Diagnostic Code Testing >> Code 61 - Parking Brake Switch (A/T)

Code 61 - Parking Brake Switch (A/T)

Fig 1: Code 61 - Wiring Schematic
G91A18408Courtesy of SUBARU OF AMERICA, INC.
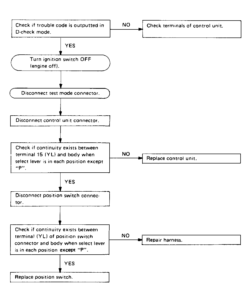
Fig 2: Code 61 - Diagnostic Flowchart
G90G21879Courtesy of SUBARU OF AMERICA, INC.