LEMON Manuals: Even more car manuals for everyone
Home >> Subaru >> 1994 >> Loyale Standard >> Repair and Diagnosis >> Engine Performance >> System >> Engine Controls - Tests W/Codes >> Diagnostic Code Testing >> Code 51 - Neutral Switch (M/T)

Code 51 - Neutral Switch (M/T)

Fig 1: Code 51 - Wiring Schematic
G91I18406Courtesy of SUBARU OF AMERICA, INC.
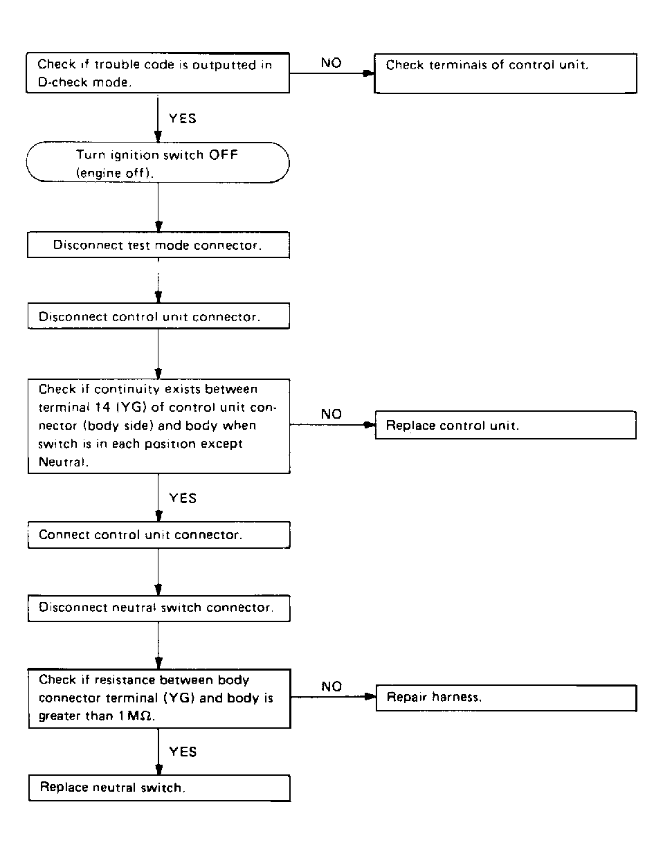
Fig 2: Code 51 - Diagnostic Flowchart
G90E21877Courtesy of SUBARU OF AMERICA, INC.