LEMON Manuals: Even more car manuals for everyone
Home >> Subaru >> 1992 >> SVX >> Repair and Diagnosis >> Engine Performance >> System >> Engine Controls - Tests W/Codes >> Diagnostic Code Charts >> Clear Memory Mode

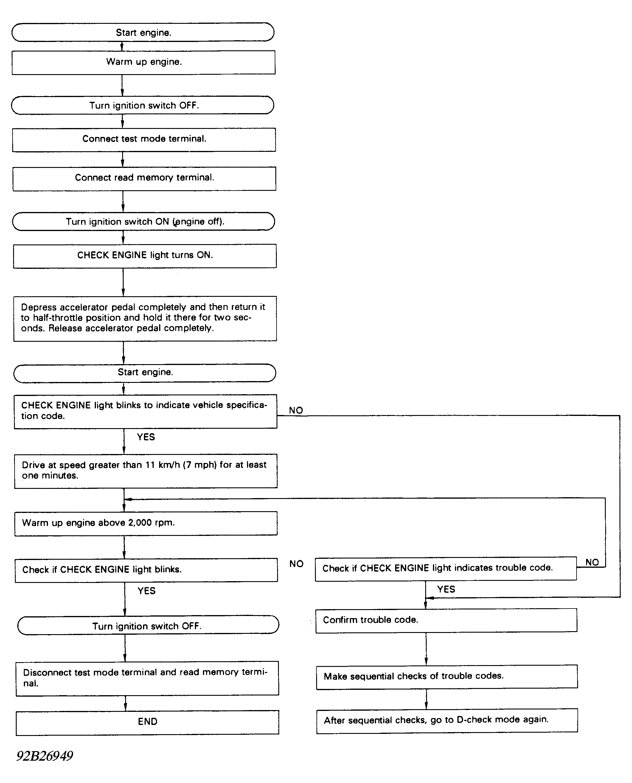
Clear Memory Mode

Fig 1: Flow Chart - Clear Memory Mode
G92B26949