LEMON Manuals: Even more car manuals for everyone
Home >> Subaru >> 1985 >> XT GL >> Repair and Diagnosis >> Engine Performance >> System >> Feedback Carburetor System >> Testing >> Trouble Code 63

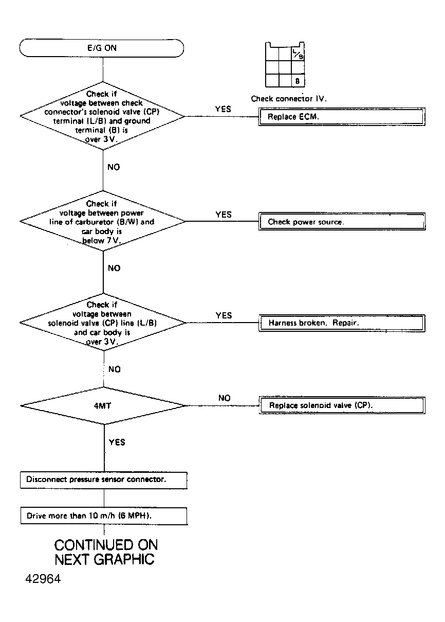
Trouble Code 63

Fig 1: Trouble Code 63 Part 1 of 2
G42964
Fig 2: Trouble Code 63 Part 2 of 2
G47213