LEMON Manuals: Even more car manuals for everyone
Home >> Pontiac >> 1991 >> LeMans Base >> Repair and Diagnosis >> Engine Performance >> System >> Engine Controls - Tests W/Codes >> Diagnostic Code Charts >> Code 32, EGR System Error >> Diagnostic Aids

Diagnostic Aids

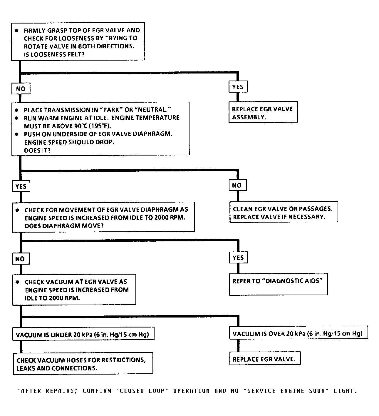
The Code 32 diagnostic flowchart is a functional check of the EGR system. If the EGR system is working correctly, but a Code 32 has been set, check the following items affecting ECM block learn values.

Fig 1: Code 32 Flow Chart, EGR System Error
G91E06711Courtesy of GENERAL MOTORS CORP.
Fig 2: Code 32, EGR Diagram
G91C06710Courtesy of GENERAL MOTORS CORP.