LEMON Manuals: Even more car manuals for everyone
Home >> Pontiac >> 1990 >> LeMans Base >> Repair and Diagnosis >> Engine Performance >> System >> Engine Controls - Tests W/Codes >> Code Charts >> Code 32, EGR System Error >> Diagnostic Aids

Diagnostic Aids

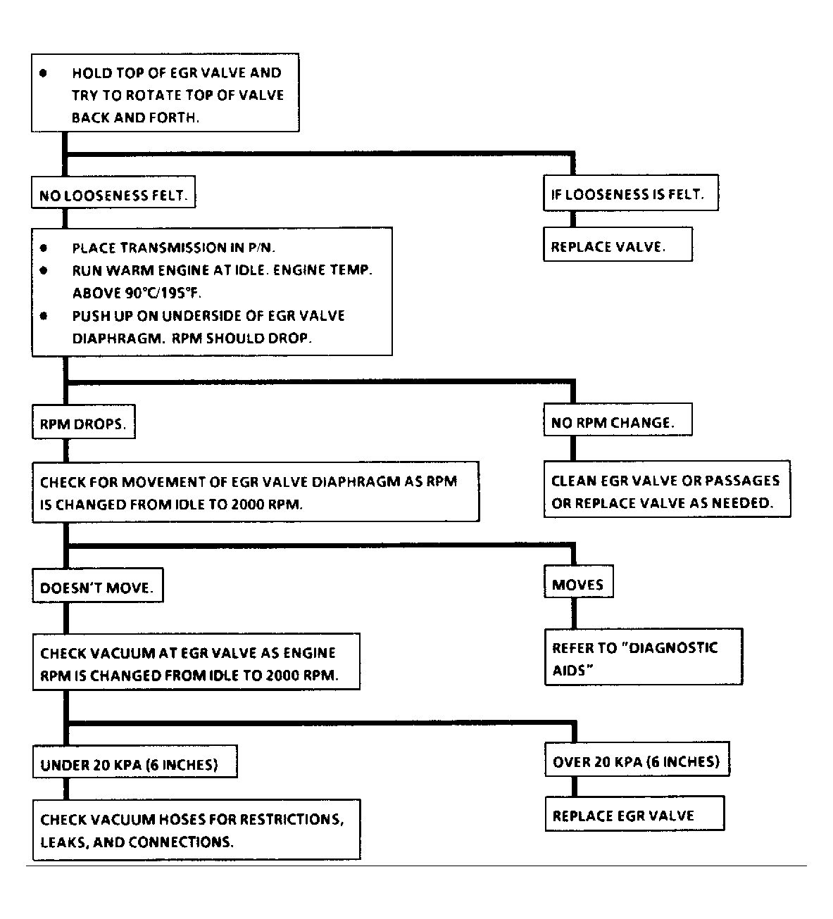
The Code 32 diagnostic flow chart is a functional check of the EGR system. If the EGR system is working correctly, but a Code 32 has been set, check the following other items that affect ECM block learn values:

Fig 1: Circuit Diagram Chart Code 32
G90B15553Courtesy of GENERAL MOTORS CORP.
Fig 2: Flow Chart Code 32
G90H15559Courtesy of GENERAL MOTORS CORP.