LEMON Manuals: Even more car manuals for everyone
Home >> Nissan-Datsun >> 2004 >> Sentra SE-R >> Repair and Diagnosis >> External Pages >> Different car >> Section 1057 (Engine Control System) >> Index For DTC >> Alphabetical Index

Alphabetical Index

WARNING: This page is about a different car, the 2004 Nissan Quest. However, it is still accessible from the selected car via links, so may be relevant.
NOTE: If DTC U1000 or U1001 is displayed with other DTC, first perform the trouble diagnosis for DTC U1000, U1001. Refer to DTC U1000, U1001 CAN COMMUNICATION LINE  .
Fig 1: DTC Index Chart (1 Of 5)
G00774975Courtesy of NISSAN MOTOR CO., U.S.A.
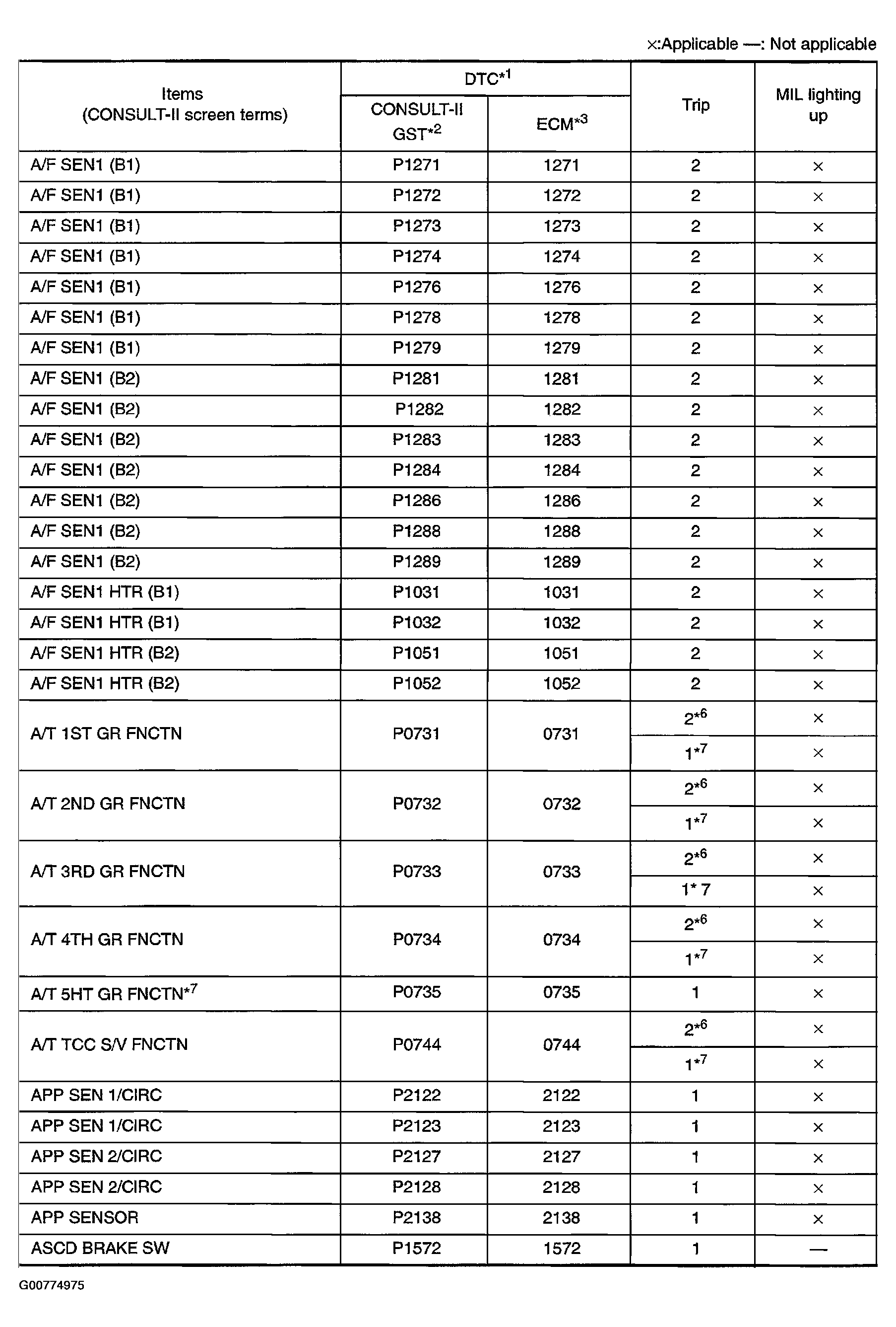
Fig 2: DTC Index Chart (2 Of 5)
G00774976Courtesy of NISSAN MOTOR CO., U.S.A.
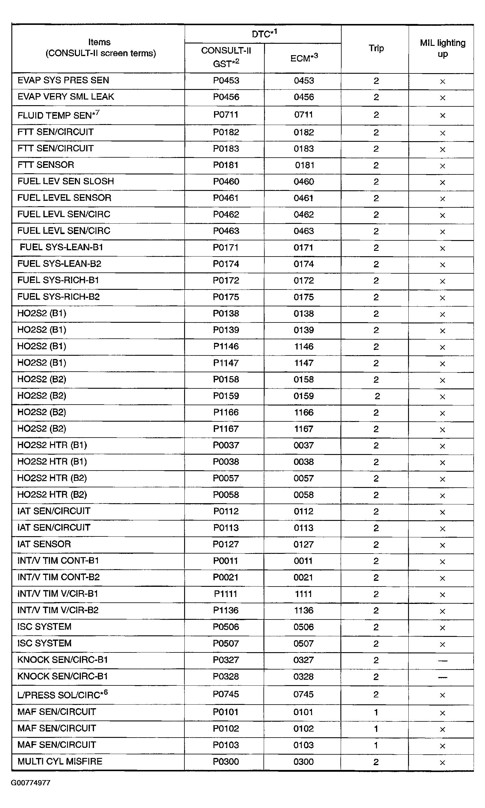
Fig 3: DTC Index Chart (3 Of 5)
G00774977Courtesy of NISSAN MOTOR CO., U.S.A.
Fig 4: DTC Index Chart (4 Of 5)
G00774978Courtesy of NISSAN MOTOR CO., U.S.A.
Fig 5: DTC Index Chart (5 Of 5)
G00774979Courtesy of NISSAN MOTOR CO., U.S.A.