LEMON Manuals: Even more car manuals for everyone
Home >> Nissan-Datsun >> 1987 >> Sentra Base >> Repair and Diagnosis >> Engine Performance >> System >> Feedback Carburetor System >> Testing >> Idle-Up Control System

Idle-Up Control System

  1. With engine idling under hot conditions, apply each load as specified in IDLE-UP SOLENOID VALVE TESTING  table and confirm operation of correct idle-up solenoid valve (s).
    IDLE-UP SOLENOID VALVE TESTING

    Component Condition Valve(s)
    Air Conditioner On A & B
    Headlights On A
    Heater Switch On A
    Power Steering Turned A
    Rear Defroster On A
  2. If correct solenoid valve (s) is not energized, check the operation of each solenoid valve. Do this by applying battery voltage to solenoid valve harness connector while listening for a clicking actuation sound of valve. See Fig 1 . If no actuation of valve is taking place, check harness connector, harness and switch of malfunctioning valve before replacing solenoid valve.
Fig 1: Testing Solenoid Valves
G61618
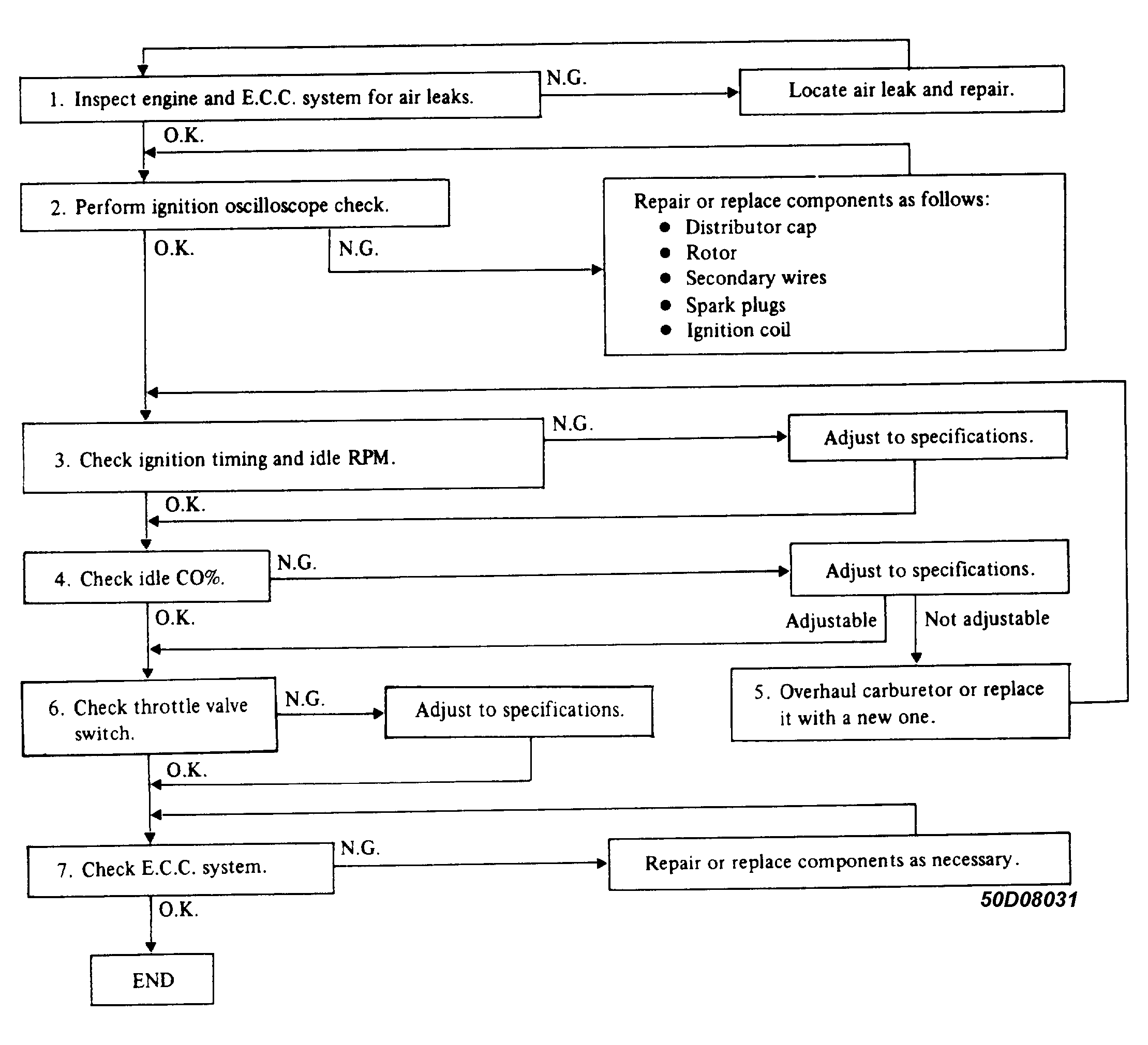
Fig 2: Diagnostic Charts (Improper Idling)
G50D08031
Fig 3: Diagnostic Charts (Engine Startability)
G50F08032
Fig 4: Diagnostic Charts (Engine Stall)
G50H08033