LEMON Manuals: Even more car manuals for everyone
Home >> Mazda >> 2020 >> CX-9 Signature >> Repair and Diagnosis >> Accessories & Equipment >> Drivers Assistance Systems - ADAS >> On-Board Diagnostic - 360DEGREES View Monitor Control Module >> Foreword [360°View Monitor Control Module] >> Troubleshooting Procedure

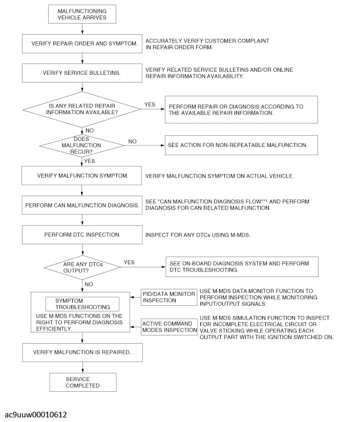
Troubleshooting Procedure

G12265185Courtesy of MAZDA MOTORS CORP.

*1: Controller Area Network (Can) Malfunction Diagnosis Flow

CONTROLLER AREA NETWORK (CAN) MALFUNCTION DIAGNOSIS FLOW