LEMON Manuals: Even more car manuals for everyone
Home >> Mazda >> 2020 >> 6 Signature >> Repair and Diagnosis >> Accessories & Equipment >> Headlights >> On-Board Diagnostics - Adaptive Front Lighting System Control Module >> Forward (Adaptive Front Lighting System (AFS) Control Module) >> Troubleshooting Procedure

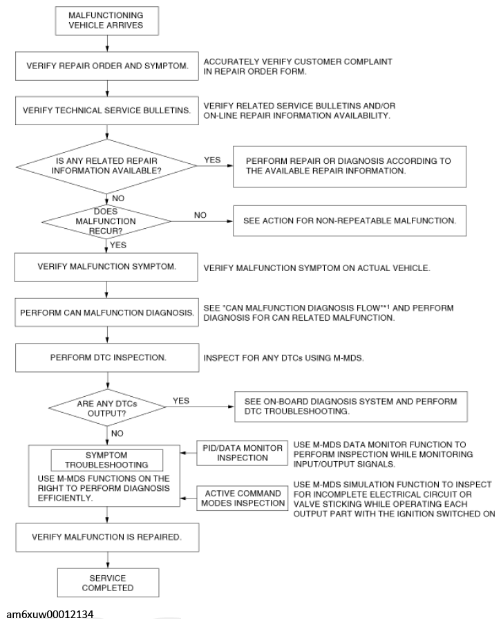
Troubleshooting Procedure

Fig 1: Adaptive Front Lighting System Control Module Troubleshooting Chart
G12236677Courtesy of MAZDA MOTORS CORP.

*1: (See CONTROLLER AREA NETWORK (CAN) MALFUNCTION DIAGNOSIS FLOW [SKYACTIV-G 2.5T] .) (See CONTROLLER AREA NETWORK (CAN) MALFUNCTION DIAGNOSIS FLOW [SKYACTIV-G 2.5] .)