LEMON Manuals: Even more car manuals for everyone
Home >> Mazda >> 2018 >> 6 Signature >> Repair and Diagnosis >> Accessories & Equipment >> Memory Modules >> On-Board Diagnostic - Position Memory Control Module >> Forward (Position Memory Control Module) >> Troubleshooting Procedure

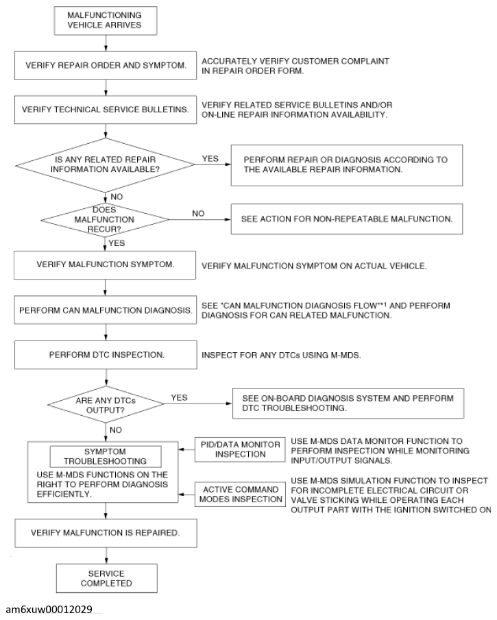
Troubleshooting Procedure

Fig 1: Position Memory Control Module Troubleshooting Procedure Chart
G12235888Courtesy of MAZDA MOTORS CORP.

*1: (See CONTROLLER AREA NETWORK (CAN) MALFUNCTION DIAGNOSIS FLOW [SKYACTIV-G 2.5T] .) (See CONTROLLER AREA NETWORK (CAN) MALFUNCTION DIAGNOSIS FLOW [SKYACTIV-G 2.5] .)