LEMON Manuals: Even more car manuals for everyone
Home >> Mazda >> 2017 >> CX-9 Signature >> Repair and Diagnosis >> External Pages >> Different car >> Section 62 (On-Board Diagnostic - Adaptive Front Lighting System Control Module) >> Foreword [Adaptive Front Lighting System (AFS) Control Module] >> Troubleshooting Procedure

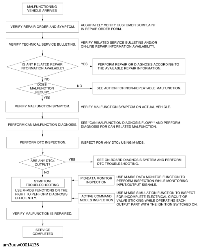
Troubleshooting Procedure

WARNING: This page is about a different car, the 2017 Mazda 3. However, it is still accessible from the selected car via links, so may be relevant.
Fig 1: Adaptive Front Lighting System (AFS) Control Module Troubleshooting Flow Chart
G11539942Courtesy of MAZDA MOTORS CORP.

*1: (See CONTROLLER AREA NETWORK (CAN) MALFUNCTION DIAGNOSIS FLOW .)