LEMON Manuals: Even more car manuals for everyone
Home >> Mazda >> 2017 >> CX-5 Grand Select, AWD >> Repair and Diagnosis >> Accessories & Equipment >> Headlights >> On-Board Diagnostic - Adaptive Front Lighting System Control Module >> Foreword [Adaptive Front Lighting System (AFS) Control Module] >> Troubleshooting Procedure

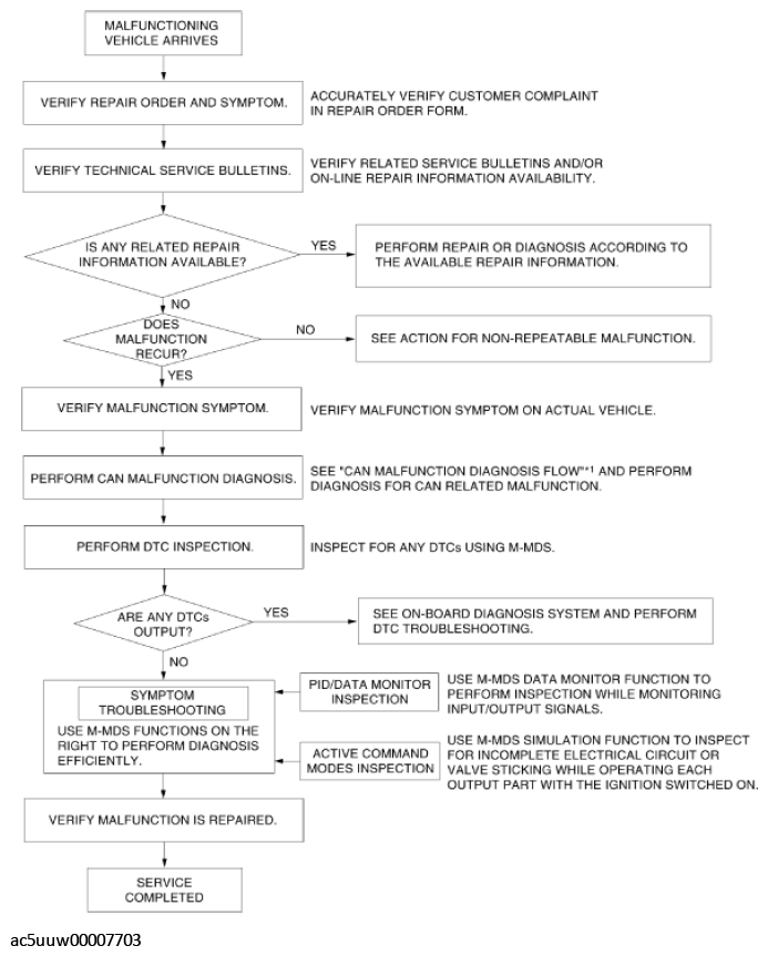
Troubleshooting Procedure

Fig 1: Vehicle Malfunction Complaint By Customer - Troubleshooting Flowchart
G11432101Courtesy of MAZDA MOTORS CORP.

*1: (See CONTROLLER AREA NETWORK (CAN) MALFUNCTION DIAGNOSIS FLOW .)