LEMON Manuals: Even more car manuals for everyone
Home >> Mazda >> 2017 >> 6 Touring, Automatic Trans >> Repair and Diagnosis >> External Pages >> Different car >> Section 144 (On-Board Diagnostic - Blind Spot Monitoring Control Module) >> Foreword Blind Spot Monitoring (BSM) Control Module >> Troubleshooting Procedure

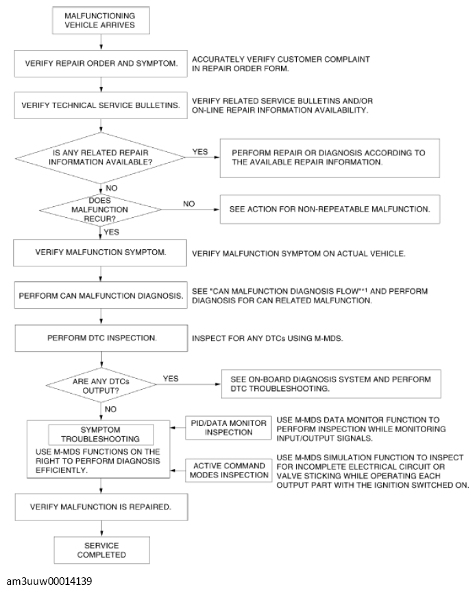
Troubleshooting Procedure

WARNING: This page is about a different car, the 2017 Mazda 3. However, it is still accessible from the selected car via links, so may be relevant.
Fig 1: Blind Spot Monitoring (BSM) Control Module Troubleshooting Flowchart
G11540227Courtesy of MAZDA MOTORS CORP.

*1: (See CONTROLLER AREA NETWORK (CAN) MALFUNCTION DIAGNOSIS FLOW .)