LEMON Manuals: Even more car manuals for everyone
Home >> Mazda >> 2017 >> 6 Sport, Automatic Trans >> Repair and Diagnosis >> External Pages >> Different car >> Section 101 (On-Board Diagnostic - Two-Step Deployment Control System) >> Foreword SAS Control Module (Two-Step Deployment Control System) >> Troubleshooting Procedure

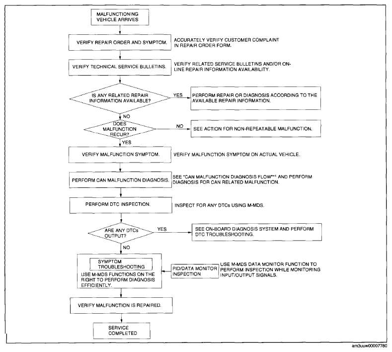
Troubleshooting Procedure

WARNING: This page is about a different car, the 2017 Mazda 3. However, it is still accessible from the selected car via links, so may be relevant.
Fig 1: Foreword SAS Control Module (Two-Step Deployment Control System) Troubleshooting Flowchart
G09075957Courtesy of MAZDA MOTORS CORP.

*1: CONTROLLER AREA NETWORK (CAN) MALFUNCTION DIAGNOSIS FLOW.