LEMON Manuals: Even more car manuals for everyone
Home >> Mazda >> 2007 >> B3000 Base, Standard >> Repair and Diagnosis >> External Pages >> Different car >> Section 432 (Security System And Locks System) >> Keyless Control Module Id Code Change

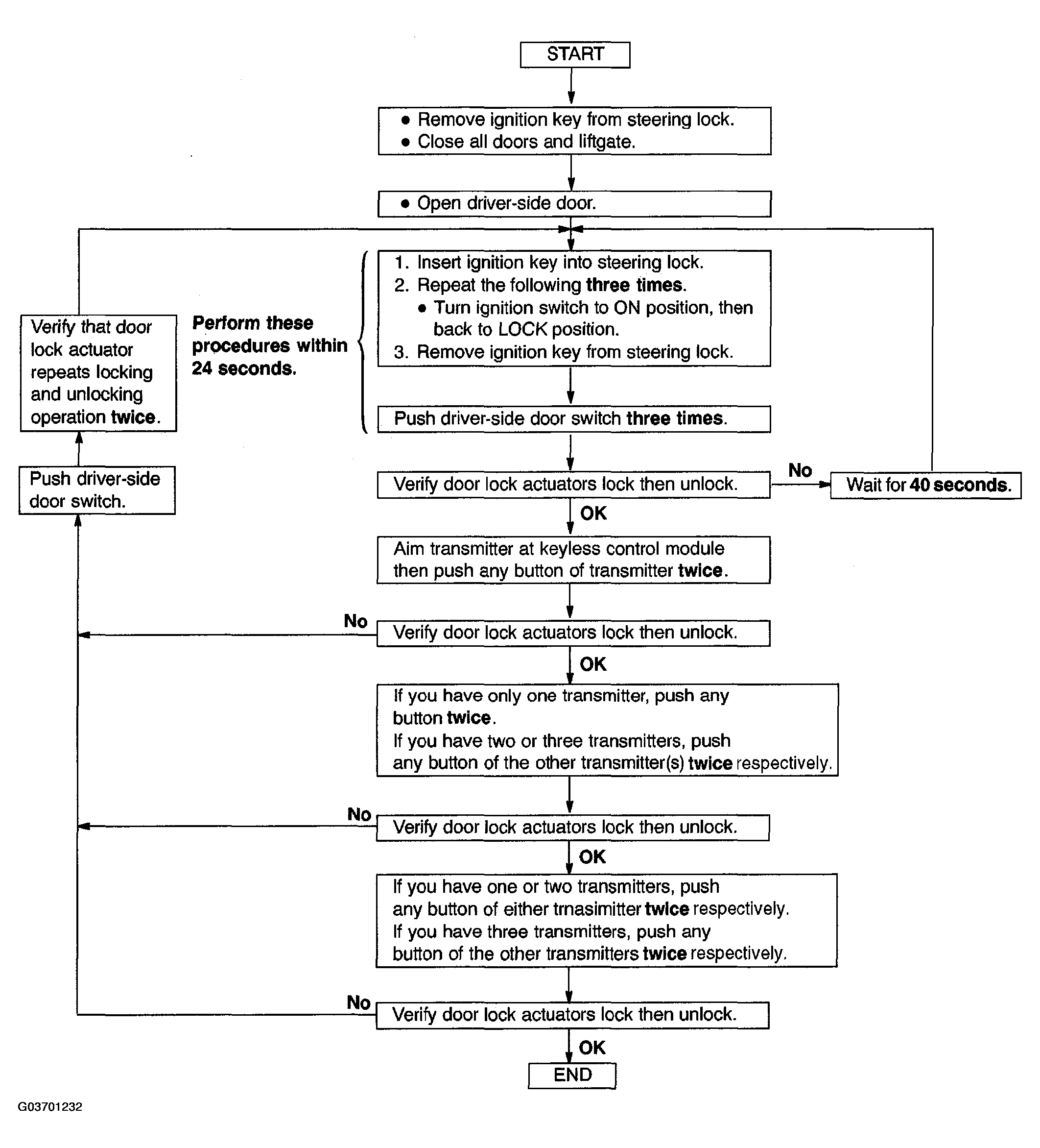
Keyless Control Module Id Code Change

WARNING: This page is about a different car, the 2005 Mazda MPV. However, it is still accessible from the selected car via links, so may be relevant.