LEMON Manuals: Even more car manuals for everyone
Home >> Mazda >> 2006 >> MPV ES >> Repair and Diagnosis (Single Page) >> Accessories & Equipment >> Anti-Theft Systems >> Security System And Locks System >> Transmitter Id Code Registration

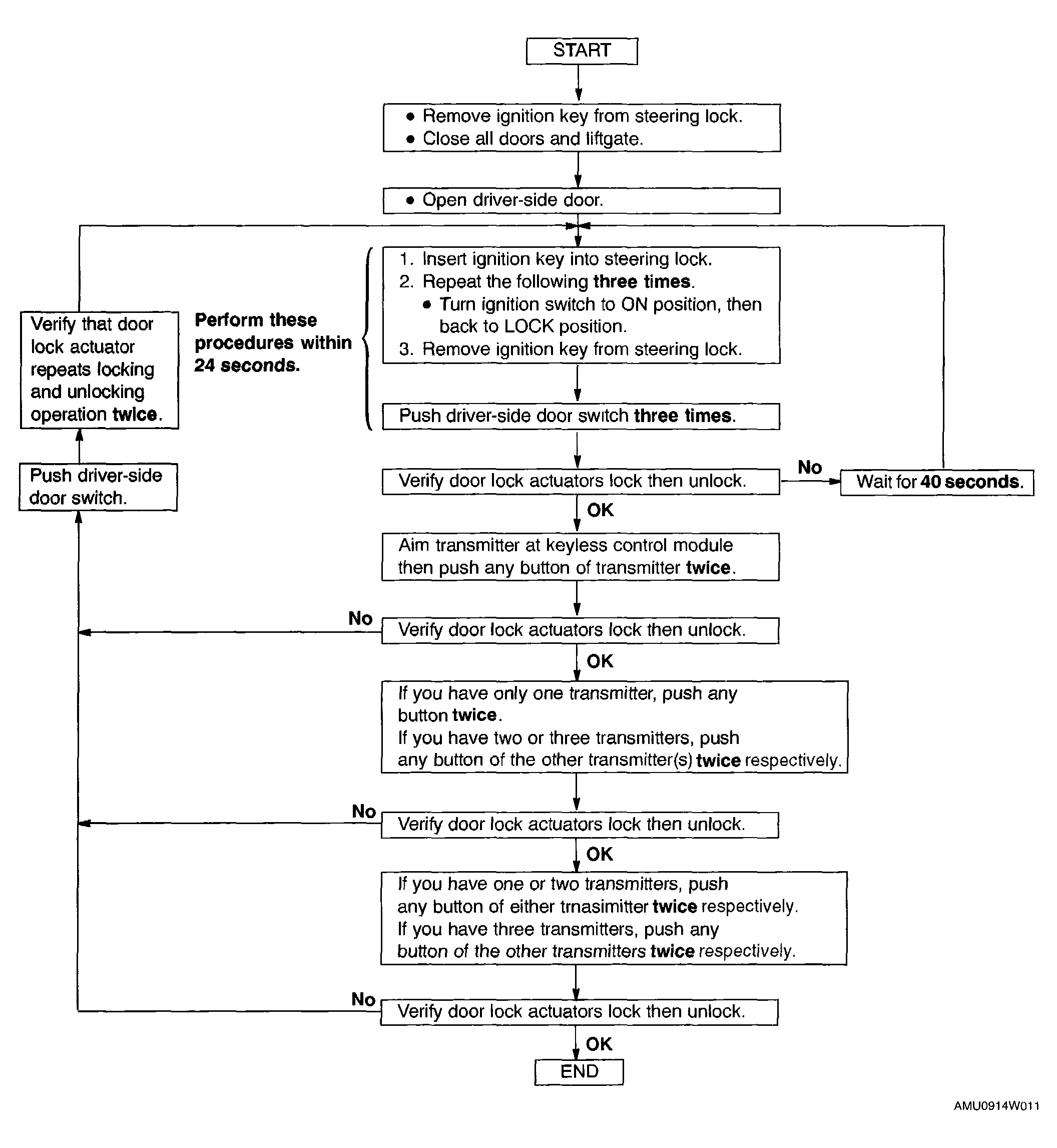
Transmitter Id Code Registration

Fig 1: Transmitter ID Code Registration Flow Chart
G04329541Courtesy of MAZDA MOTORS CORP.