LEMON Manuals: Even more car manuals for everyone
Home >> Mazda >> 2004 >> Tribute LX, 4WD >> Repair and Diagnosis >> Engine Performance >> System >> Engine Control System >> PID/Data Monitor Reference Value (3.0L A/T) >> Typical Diagnostic Reference Values

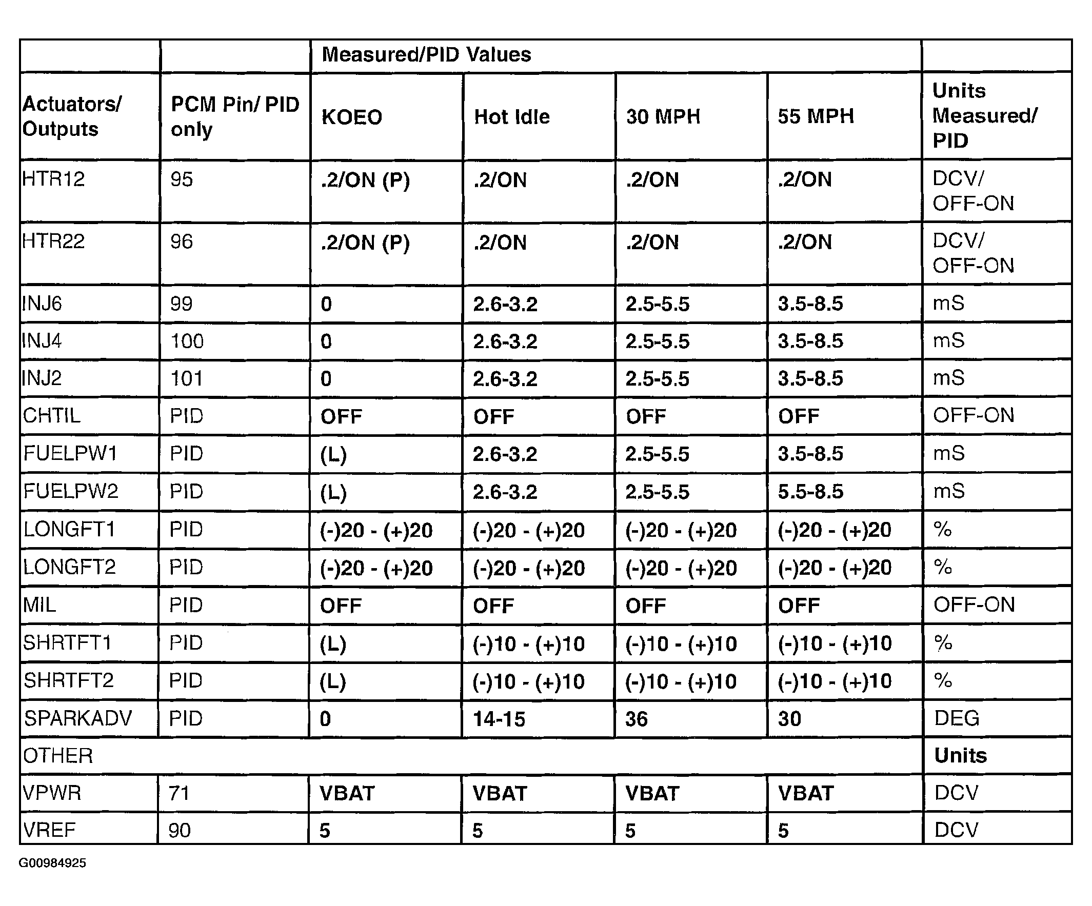
Typical Diagnostic Reference Values

Fig 1: Identifying Typical Diagnostic Reference Values (3.0L A/T) (1 Of 2)
G00984924Courtesy of MAZDA MOTORS CORP.
Fig 2: Identifying Typical Diagnostic Reference Values (3.0L A/T) (2 Of 2)
G00984925Courtesy of MAZDA MOTORS CORP.