LEMON Manuals: Even more car manuals for everyone
Home >> Mazda >> 2003 >> MPV ES >> Repair and Diagnosis (Single Page) >> Body & Frame >> Door Locks >> Security System And Locks System >> Keyless Control Module Id Code Change

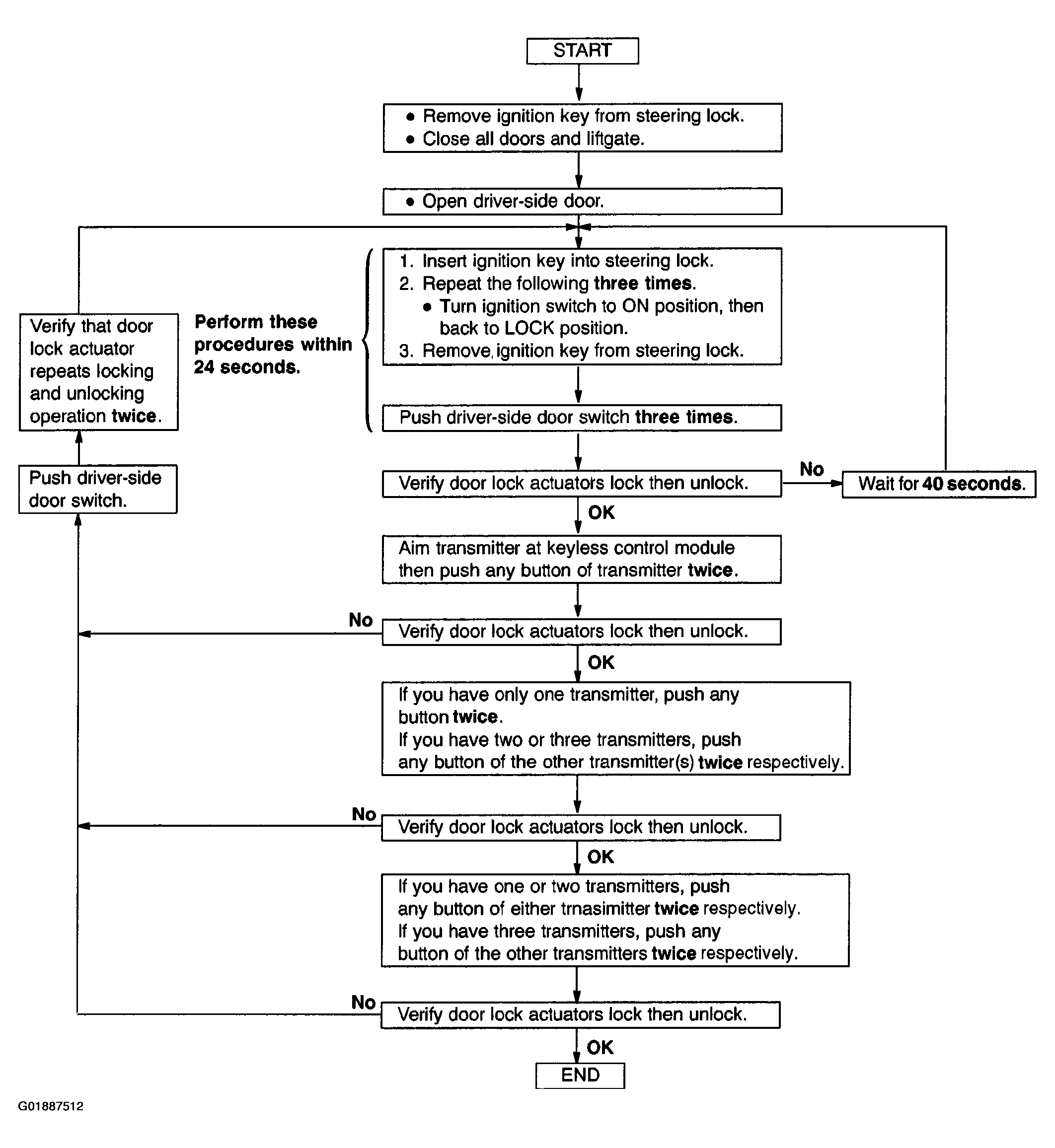
Keyless Control Module Id Code Change