LEMON Manuals: Even more car manuals for everyone
Home >> Lincoln >> 2002 >> Continental >> Repair and Diagnosis >> External Pages >> Different car >> Section 228 (Module Communications Network System) >> Diagnosis And Testing >> Communications Network >> System Precheck >> Pinpoint Test Pc: Run The Data Link Diagnostics Network Test

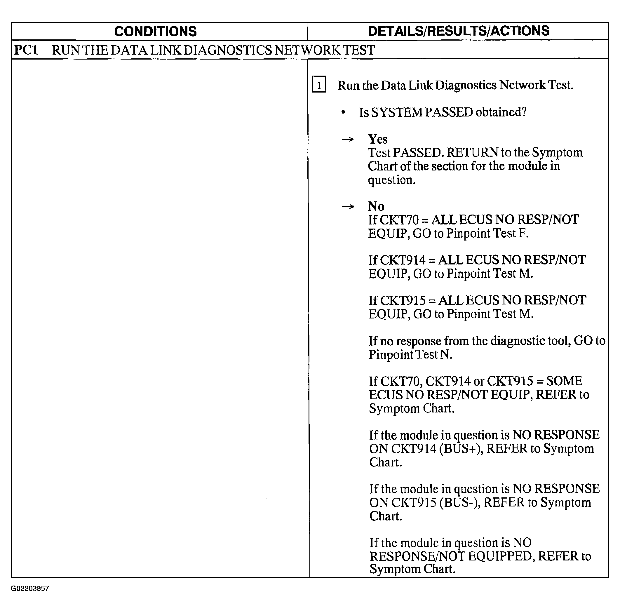
Pinpoint Test Pc: Run The Data Link Diagnostics Network Test

WARNING: This page is about a different car, the 2002 Lincoln Town Car. However, it is still accessible from the selected car via links, so may be relevant.
Fig 1: Pinpoint Test PC: Run Data Link Diagnostics Network Test
G02203857Courtesy of FORD MOTOR CO.