LEMON Manuals: Even more car manuals for everyone
Home >> Lexus >> 2007 >> LS 460L >> Repair and Diagnosis >> External Pages >> Different car >> Section 777 (Engine Control System - Introduction) >> Basic Inspection >> Diagnosis And Repair Work Flow >> Work Flow >> Overall Sequence

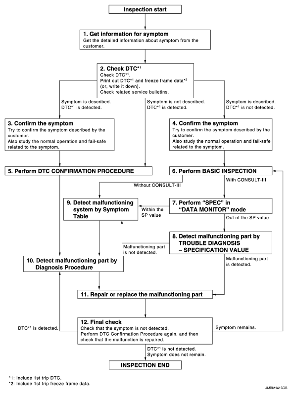
Overall Sequence

WARNING: This page is about a different car, the 2009 Nissan Maxima. However, it is still accessible from the selected car via links, so may be relevant.
Fig 1: Diagnosis And Repair Work Flow
G05869590Courtesy of NISSAN MOTOR CO., U.S.A.