LEMON Manuals: Even more car manuals for everyone
Home >> Lexus >> 2007 >> LS 460L >> Repair and Diagnosis >> External Pages >> Different car >> Section 236 (Engine Control System) >> DTC P1217: Engine Over Temperature >> Description >> System Description >> Cooling Fan Operation

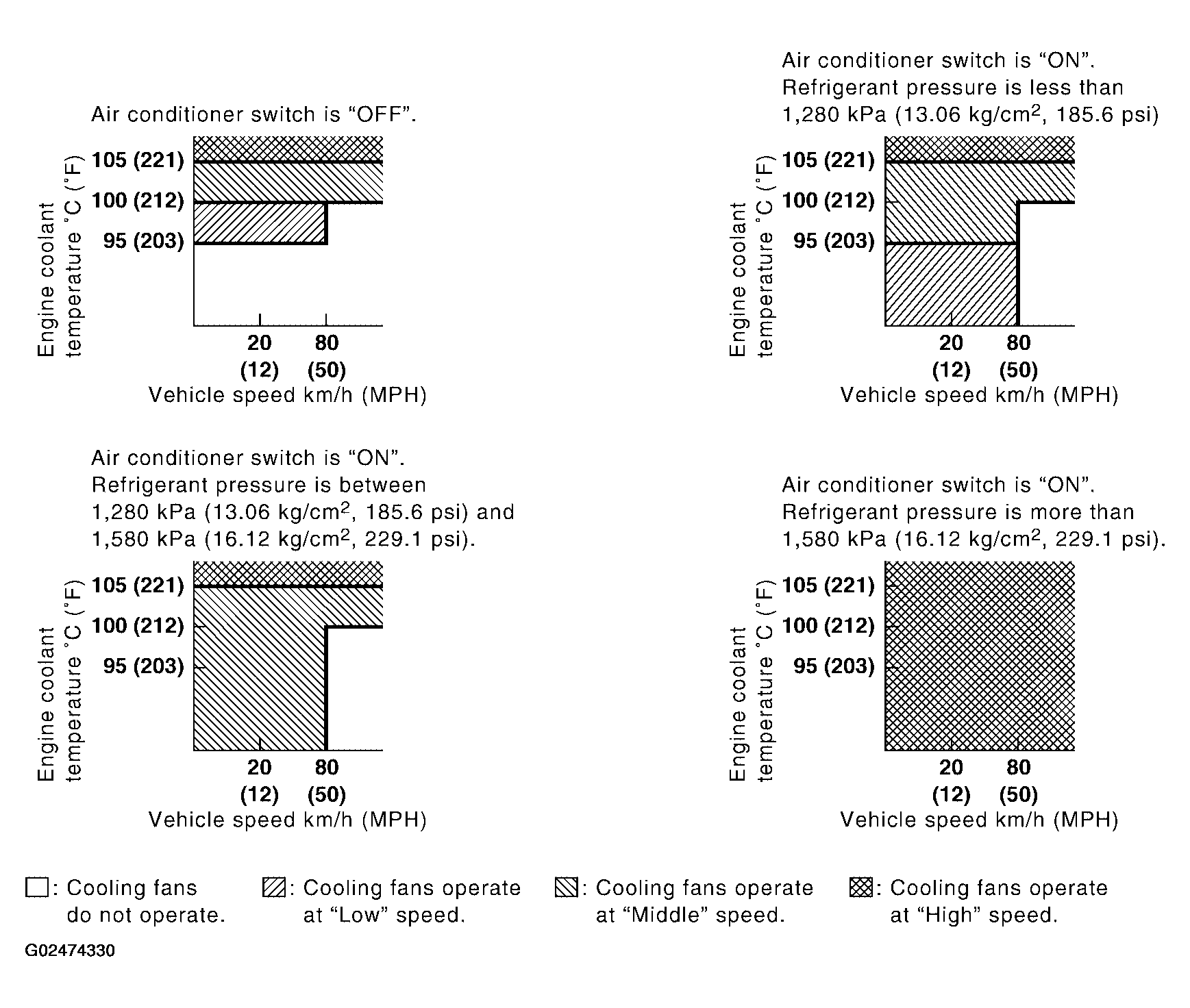
Cooling Fan Operation

WARNING: This page is about a different car, the 2005 Nissan Quest. However, it is still accessible from the selected car via links, so may be relevant.
Fig 1: Cooling Fan Operation Reference
G02474330Courtesy of NISSAN MOTOR CO., U.S.A.