LEMON Manuals: Even more car manuals for everyone
Home >> Lexus >> 2005 >> GS 430 >> Repair and Diagnosis >> Body & Frame >> Windows >> Power Window Control System >> Power Window Control System >> Troubleshooting >> Flow Chart < A >

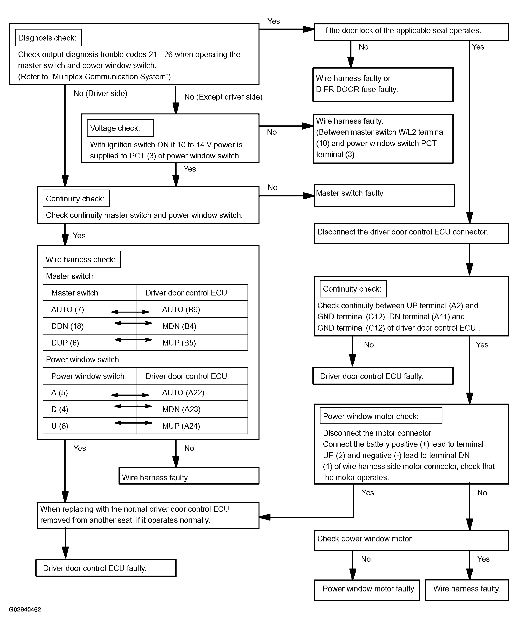
Flow Chart < A >

  1. Only specific window does not operate (Neither manual nor automatic operation is available). 
    Fig 1: Only Specific Window Does Not Operate Flow Chart
    G02940462Courtesy of © TOYOTA, LICENSE AGREEMENT TMS1002
  2. REMOTE CONTROL OF ALL WINDOWS (EXCEPT DRIVER'S) DOES NOT FUNCTION WITH MASTER SWITCH. (WINDOWS OPERATE NORMALLY WITH EACH OF MASTER SWITCHES. 
    Fig 2: Trouble Shooting Table (Remote Control Of All Windows)
    G02940463Courtesy of © TOYOTA, LICENSE AGREEMENT TMS1002
  3. THE KEY RELATED POWER WINDOW OPERATION DOES NOT OPERATE WITH DRIVER Side Door KEY CYLINDER. (MASTER SWITCH OPERATION IS NORMAL.) 
    Fig 3: Trouble Shooting Table Key Related Power Windows Operation
    G02940464Courtesy of © TOYOTA, LICENSE AGREEMENT TMS1002
  4. POWER WINDOW DOES NOT OPERATE WITH MULTI-FUNCTION TRANSMITTER. (WINDOWS OPERATE NORMALLY WITH MASTER SWITCH.) 
    Fig 4: Trouble Shooting Table Power Window Does Not Operate With Multi-Function Thermistor
    G02940465Courtesy of © TOYOTA, LICENSE AGREEMENT TMS1002
  5. WINDOW MOVES DOWN WITHOUT BEING ORDERED DURING THE UP OPERATION 
    Fig 5: Trouble Shooting Table (Window Moves Down Without Being Ordered During Up Operation)
    G02940466Courtesy of © TOYOTA, LICENSE AGREEMENT TMS1002