LEMON Manuals: Even more car manuals for everyone
Home >> Lexus >> 2004 >> SC 430 >> Repair and Diagnosis >> External Pages >> Different car >> Section 249 (Front Wheel Alignment) >> Front Wheel Alignment >> Adjustment

Front Wheel Alignment: Adjustment

WARNING: This page is about a different car, the 2004 Lexus LS 430. However, it is still accessible from the selected car via links, so may be relevant.
  1. INSPECT TIRE (SEE  INSPECTION  ) 
  2. MEASURE VEHICLE HEIGHT 

    Vehicle height: 

    Except air suspension: 

    Fig 1: Inspecting Tire
    G01051755Courtesy of © TOYOTA, LICENSE AGREEMENT TMS1002

    Air suspension: 

    Fig 2: Specification Except Air Suspension
    G01051756Courtesy of © TOYOTA, LICENSE AGREEMENT TMS1002
    Fig 3: Specification Air Suspension
    G01051757Courtesy of © TOYOTA, LICENSE AGREEMENT TMS1002

    Measuring points: 

    A: Ground clearance of lower suspension arm No. 1 bushing set bolt center 

    B: Ground clearance of front wheel center 

    C: Ground clearance of rear suspension arm No.2 set bolt center 

    D: Ground clearance of rear wheel center 

    NOTE: Before inspecting the wheel alignment, adjust the vehicle height to the specified value.

    HINT:

    Bounce the vehicle up and down to stabilize the suspension and inspect the vehicle height.

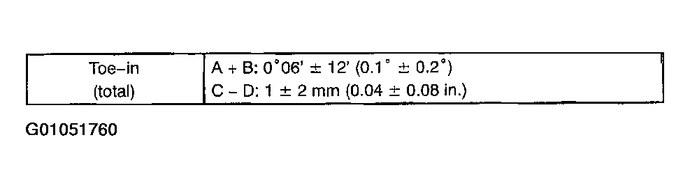
  3. INSPECT TOE-IN 

    Toe-in: 

    Fig 4: Identifying Wheel Angle
    G01051758Courtesy of © TOYOTA, LICENSE AGREEMENT TMS1002

    If the toe-in is not within the specified range, adjust it at the rack ends.

  4. ADJUST TOE-IN 
    1. Remove the rack boot set clips.
    2. Loosen the tie rod end lock nuts.
      Fig 5: Specification Toe-In
      G01051759Courtesy of © TOYOTA, LICENSE AGREEMENT TMS1002
    3. Turn the right and left rack ends by equal amounts to adjust the toe-in.

      HINT:

      Try to adjust the toe-in to the center of the specified value.

    4. Make sure that the lengths of the right and left rack ends are the same.
    5. Torque the tie rod end lock nuts.

      Torque: 56 N.m (570 kgf.cm, 41 ft.lbf) 

    6. Place the boots on the seats and install the clips.
      Fig 6: Adjusting Toe-In
      G01051760Courtesy of © TOYOTA, LICENSE AGREEMENT TMS1002

      HINT:

      Make sure that the boots are not twisted.

    7. Perform the zero point calibration of yaw rate and deceleration sensor (SEE CALIBRATION ).
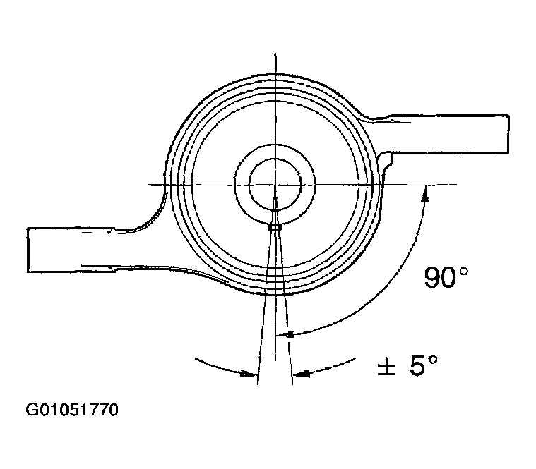
  5. INSPECT WHEEL ANGLE 
    1. Turn the steering wheel fully left and right to measure the turning angle.

      Wheel turning angle: 

      Fig 7: Inspecting Wheel Angle
      G01051761Courtesy of © TOYOTA, LICENSE AGREEMENT TMS1002

      If the right and left inside wheel angles differ from the specified value, check and adjust the right and left rack end lengths.

      Fig 8: Wheel Turning Specification
      G01051762Courtesy of © TOYOTA, LICENSE AGREEMENT TMS1002
  6. INSPECT CAMBER, CASTER AND STEERING AXIS INCLINATION 
    1. Put the front wheel on the center of the alignment tester.
    2. Set the camber-caster-kingpin gauge at the center of the axle hub.

    Camber, caster and steering axis inclination: 

    Fig 9: Inspecting Camber, Caster And Steering Axis Inclination
    G01051763Courtesy of © TOYOTA, LICENSE AGREEMENT TMS1002
    Fig 10: Camber, Caster And Steering Axis Inclination Specification
    G01051764Courtesy of © TOYOTA, LICENSE AGREEMENT TMS1002
  7. ADJUST CAMBER 

    HINT:

    • After adjusting the camber, inspect the caster and toe-in.
    • Try to adjust the camber to the center value.
    1. Loosen the camber adjusting cam nut.
    2. Turn the camber adjusting cam and adjust the camber.

      HINT:

      Camber changes about 6'18" (0.11°) with each graduation of the cam.

    3. Torque the camber adjusting cam.

      Torque: 172 N.m (1,755 kgf.cm, 127 ft.lbf) 

      Fig 11: Loosing Camber Adjusting Cam Nut
      G01051765Courtesy of © TOYOTA, LICENSE AGREEMENT TMS1002
  8. ADJUST CASTER 

    HINT:

    The caster can be adjusted by replacing the No. 2 bushing bracket.

    1. Jack up the vehicle and make the wheels in full rebound condition.
    2. Remove the nut and washer from the rear of the lower No. 2 bushing.
    3. Remove the bolts from the right and left sides of the lower No. 2 bushing bracket and take out the bracket from the lower arm.
      Fig 12: Removing Nut And Washer From Rear Of Lower No. 2
      G01051766Courtesy of © TOYOTA, LICENSE AGREEMENT TMS1002
    4. Using SST and a press, remove the lower No. 2 bushing from the bracket. According to the figure Fig 13 below, replace the bracket and press-fit the removed bushing.

      SST 09613-26010, 09950-00020,

      09950-60010 (09951-00650)

      Fig 13: Removing Lower Bushing From Bracket
      G01051767Courtesy of © TOYOTA, LICENSE AGREEMENT TMS1002

      HINT:

      • Push the part shown in the illustration to remove.
      • For SST 09613-26010, use 2 thicker half-rings as a pair.
        Fig 14: Special Tool Specification
        G01051768Courtesy of © TOYOTA, LICENSE AGREEMENT TMS1002
    5. Using SST and a press, reinstall a bushing as shown in the illustration.

      SST 09613-26010, 09950-60010 (09951-00650)

      HINT:

      • For SST 09613-26010, use 2 thicker half-rings as a pair.
        Fig 15: Reinstalling Bushing
        G01051769Courtesy of © TOYOTA, LICENSE AGREEMENT TMS1002
      • Set the protrusion of the bushing to the position shown in the illustration.
    6. Install the lower bracket into the lower arm shaft. Temporarily install the washer and nut removed in (b) until it goes by hand.
      Fig 16: Installing Lower Bracket Into Lower Arm Shaft
      G01051770Courtesy of © TOYOTA, LICENSE AGREEMENT TMS1002
      NOTE: Do not install them completely in this stage.
    7. Install the 2 bolts that removed in (c).

      Torque: 

      Vehicle inside: 60 N.m (612 kgf.cm, 44 ft.lbf) 

      Vehicle outside: 137 N.m (1,395 kgf.cm, 101 ft.lbf) 

    8. Put down the vehicle and, with its wheels completely grounded, tighten the nut that is temporarily installed in (e).

      Torque: 137 N.m (1,395 kgf.cm, 101 ft.lbf)