Transmitter Sub-ASSY Module Set Door Control: Registration
WARNING: This page is about a different car, the 2004 Lexus GX 470. However, it is still accessible from the selected car via links, so may be relevant.
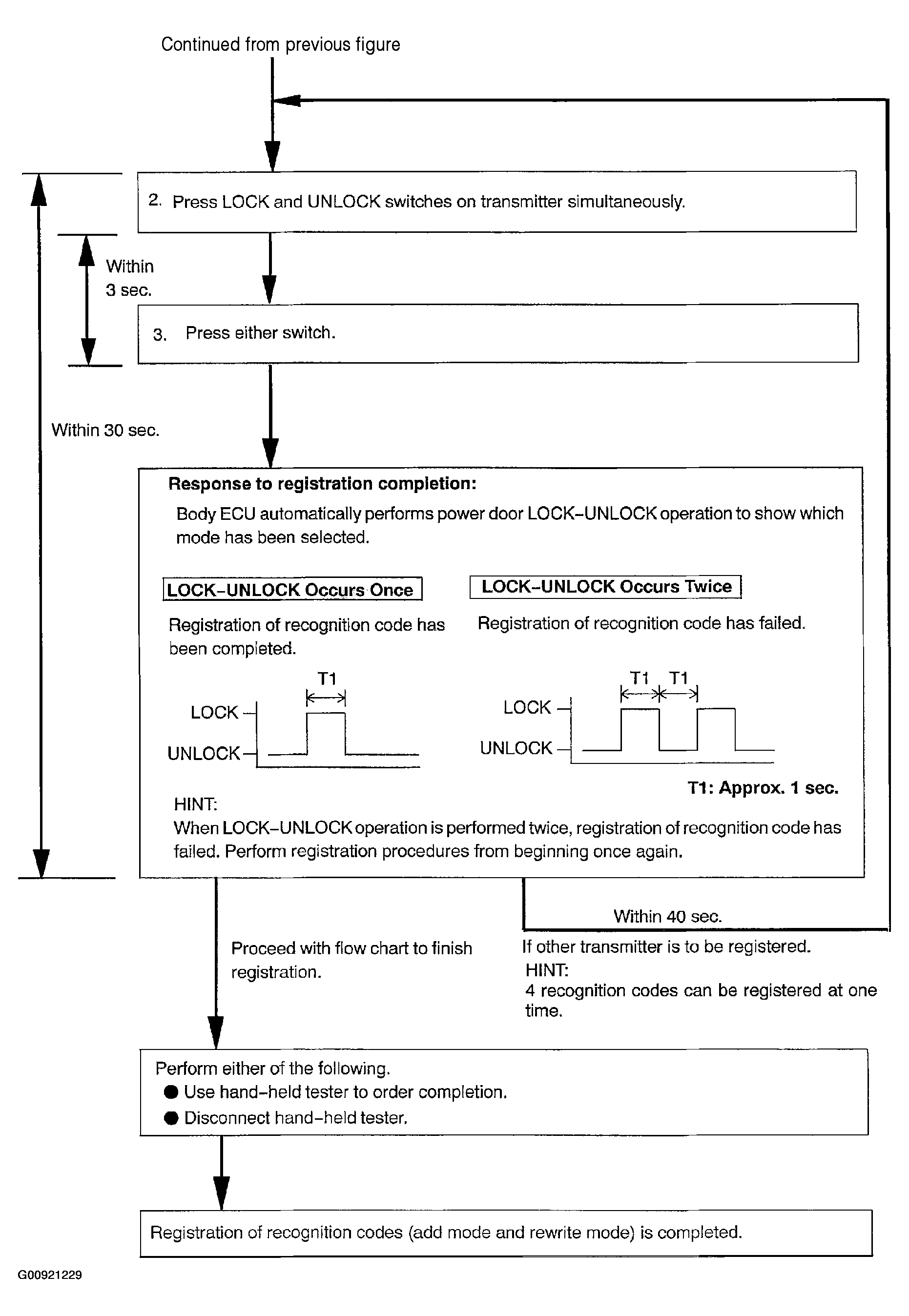
HINT:
- If replacing the door control transmitter or the door control receiver, register the recognition code.
- The add mode is used to register new recognition codes while still retaining codes already registered. This mode is used when a new transmitter is added. If the number of registered codes exceeds 4, the previously registered codes will be erased in order, starting from the first registered code.
- The rewrite mode is used to erase all the previously registered recognition codes in order to register all new recognition codes. This mode is used when the transmitter or the door control receiver is exchanged for a new one.
- The confirmation mode is used to confirm how many recognition codes have already been registered before an additional registration of the recognition codes.
- The prohibition mode is used to erase all the registered codes and disables the wireless door lock function. This mode is used when the transmitter is lost.
- All the following registration procedures must be performed in order continuously.
- When Using Hand-held Tester: REGISTER RECOGNITION CODE
Courtesy of © TOYOTA, LICENSE AGREEMENT TMS1002
- When not Using Hand-held Tester:REGISTER RECOGNITION CODE
Courtesy of © TOYOTA, LICENSE AGREEMENT TMS1002
Courtesy of © TOYOTA, LICENSE AGREEMENT TMS1002
Courtesy of © TOYOTA, LICENSE AGREEMENT TMS1002