LEMON Manuals: Even more car manuals for everyone
Home >> Lexus >> 2003 >> RX 300 AWD >> Repair and Diagnosis >> General Information >> Identification >> Introduction >> How To Troubleshoot Ecu Controlled Systems >> How To Proceed With Troubleshooting

How To Proceed With Troubleshooting

Carry out troubleshooting in accordance with the procedure shown. Here, only the basic procedure is shown. Details are provided in Diagnostics articles, showing the most effective methods for each circuit. Confirm the troubleshooting procedures first for the relevant circuit before beginning troubleshooting of that circuit.

Fig 1: Identifying Troubleshooting Chart
G03381536Courtesy of © TOYOTA, LICENSE AGREEMENT TMS1002
  1. CUSTOMER PROBLEM ANALYSIS 

    In troubleshooting, the problem symptoms must be confirmed accurately and all preconceptions must be cleared away in order to give an accurate judgment. To ascertain just what the problem symptoms are, it is extremely important to ask the customer about the problem and the conditions at the time it occurred. Important Point in the Problem Analysis:

    The following 5 items are important points in the problem analysis. Past problems which are thought to be unrelated and the repair history, etc. may also help in some cases, so as much information as possible should be gathered and its relationship with the problem symptoms should be correctly ascertained for reference in troubleshooting. A customer problem analysis table is provided in Diagnostics section for each system for your use.

    Important Points in the Customer Problem Analysis 

    • What---Vehicle model, system name
    • When---Date, time, occurrence frequency
    • Where---Road conditions
    • Under what conditions?---Running conditions, driving conditions, weather conditions
    • How did it happen?---Problem symptoms

    (Sample) Engine control system check sheet. 

    Fig 2: Customer Problem Analysis Check Sheet
    G03381537Courtesy of © TOYOTA, LICENSE AGREEMENT TMS1002
  2. SYMPTOM CONFIRMATION AND DIAGNOSTIC TROUBLE CODE CHECK 

    The diagnostic system in the LEXUS RX300 fulfills various functions. The first function is the Diagnostic Trouble Code Check in which a malfunction in the signal circuits to the ECU is stored in code in the ECU memory at the time of occurrence, to be output by the technician during troubleshooting. Another function is the Input Signal Check which checks if the signals from various switches are sent to the ECU correctly. By using these check functions, the problem areas can be narrowed down quickly and troubleshooting can be performed effectively. Diagnostic functions are incorporated in the following systems in the LEXUS RX300.

    DTC CHART

    System Diagnostic Trouble Code Check Input Signal Check (Sensor Check) Other Diagnosis Function
    Engine X (with Test Mode) X X
    Automatic Transaxle X (with Test Mode) X  
    ABS & BA & TRAC & VSC System X X X
    Supplemental Restraint System X    
    Cruise Control System X X  
    Engine Immobiliser System X    
    Multiplex Communication System X    
    LEXUS Navigation System X    
    Air Conditioning System X    

    In diagnostic trouble code check, it is very important to determine whether the problem indicated by the diagnostic trouble code is still occurring or occurred in the past but returned to normal at present. In addition, it must be checked in the problem symptom check whether the malfunction indicated by the diagnostic trouble code is directly related to the problem symptom or not. For this reason, the diagnostic trouble codes should be checked before and after the symptom confirmation to determine the current conditions, as shown in the table below. If this is not done, it may, depending on the case, result in unnecessary troubleshooting for normally operating systems, thus making it more difficult to locate the problem, or in repairs not pertinent to the problem. Therefore, always follow the procedure in correct order and perform the diagnostic trouble code check.

    DIAGNOSTIC TROUBLE CODE CHECK PROCEDURE 

    Fig 3: Identifying Diagnostic Trouble Code Check Procedure
    G03381538Courtesy of © TOYOTA, LICENSE AGREEMENT TMS1002

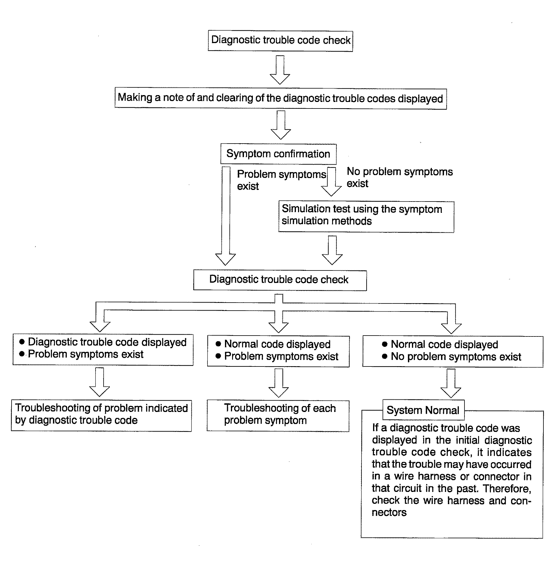
    Taking into account the above points, a flow chart showing how to proceed with troubleshooting using the diagnostic trouble code check is shown below. This flow chart shows how to utilize the diagnostic trouble code check effectively, then by carefully checking the results, indicates how to proceed either to diagnostic trouble code troubleshooting or to troubleshooting of problem symptoms table.

    Fig 4: Identifying Flow Chart Of Proceeding With Troubleshooting
    G03381539Courtesy of © TOYOTA, LICENSE AGREEMENT TMS1002
  3. SYMPTOM SIMULATION 

    The most difficult case in troubleshooting is when there are no problem symptoms occurring. In such cases, a thorough customer problem analysis must be carried out, then simulate the same or similar conditions and environment in which the problem occurred in the customer's vehicle. No matter how much experience a technician has, or how skilled he may be, if he proceeds to troubleshoot without confirming the problem symptoms he will tend to overlook something important in the repair operation and make a wrong guess somewhere, which will only lead to a standstill. For example, for a problem which only occurs when the engine is cold, or for a problem which occurs due to vibration caused by the road during driving, etc., the problem can never be determined so long as the symptoms are confirmed with the engine hot condition or the vehicle at a standstill. Since vibration, heat or water penetration (moisture) is likely cause for problem which is difficult to reproduce, the symptom simulation tests introduced here are effective measures in that the external causes are applied to the vehicle in a stopped condition.

    Important Points in the Symptom Simulation Test:

    In the symptom simulation test, the problem symptoms should of course be confirmed, but the problem area or parts must also be found out. To do this, narrow down the possible problem circuits according to the symptoms before starting this test and connect a tester beforehand. After that, carry out the symptom simulation test, judging whether the circuit being tested is defective or normal and also confirming the problem symptoms at the same time. Refer to the problem symptoms table for each system to narrow down the possible causes of the symptom.

    Fig 5: Identifying Symptom Problem Table (1 Of 2)
    G03381540Courtesy of © TOYOTA, LICENSE AGREEMENT TMS1002
    Fig 6: Identifying Symptom Problem Table (2 Of 2)
    G03381541Courtesy of © TOYOTA, LICENSE AGREEMENT TMS1002
  4. DIAGNOSTIC TROUBLE CODE CHART 

    This table permits efficient and accurate troubleshooting using the diagnostic trouble codes displayed in the diagnostic trouble code check. Proceed with troubleshooting in accordance with the inspection procedure given in the diagnostic chart corresponding to the diagnostic trouble codes displayed. For example, see the Engine Diagnostic Trouble Code table under RETRIEVING DIAGNOSTIC TROUBLE CODES .

  5. PROBLEM SYMPTOMS TABLE 

    The suspected circuits or parts for each problem symptom are shown in the table below. Use this table to troubleshoot the problem when a "Normal" code is displayed in the diagnostic trouble code check but the problem is still occurring. Numbers in the table indicate the inspection order in which the circuits or parts should be checked. See example table below.

    HINT:

    When the problem is not detected by the diagnostic system even though the problem symptom is present, it is considered that the problem is occurring outside the detection range of the diagnostic system, or that the problem is occurring in a system other than the diagnostic system.

    EXAMPLE OF PROBLEM SYMPTOM CHART

    Symptom Suspect Area
    Engine does not crank (Does not start) 1. Starter & Starter relay
    No initial combustion (Does not start) 1. ECM power sourse circuit
    2. Fuel pump control circuit
    3. Engine Control Module (ECM)
    No complete combustion (Does not start) 1. Fuel pump control circuit
    Engine cranks normally (Difficult to start) 1. Starter signal circuit
    2. Fuel pump control circuit
    3. Compression
    Cold engine (Difficult to start) 1. Starter signal circuit
    2. Fuel pump control circuit
    Hot engine 1. Starter signal circuit
    2. Fuel pump control circuit
    Low idle speed (Poor idle) 1. A/C signal circuit (Compressor circuit)
    2. Fuel pump control circuit
  6. CIRCUIT INSPECTION 

    Each Diagnostic Trouble Code (DTC) procedure, provides a circuit description, DTC detecting condition, trouble area and wiring diagram when applicable.

    Fig 7: Circuit Inspection Wiring Diagram (Example)
    G03381544Courtesy of © TOYOTA, LICENSE AGREEMENT TMS1002
    Fig 8: Identifying Inspection Procedure (Example)
    G03381545Courtesy of © TOYOTA, LICENSE AGREEMENT TMS1002