LEMON Manuals: Even more car manuals for everyone
Home >> Lexus >> 2002 >> SC 430 >> Repair and Diagnosis >> External Pages >> Different car >> Section 249 (Smart Key System - Diagnosis) >> Registration

Section 249 (Smart Key System - Diagnosis): Registration

WARNING: This page is about a different car, the 2004 Lexus LS 430. However, it is still accessible from the selected car via links, so may be relevant.
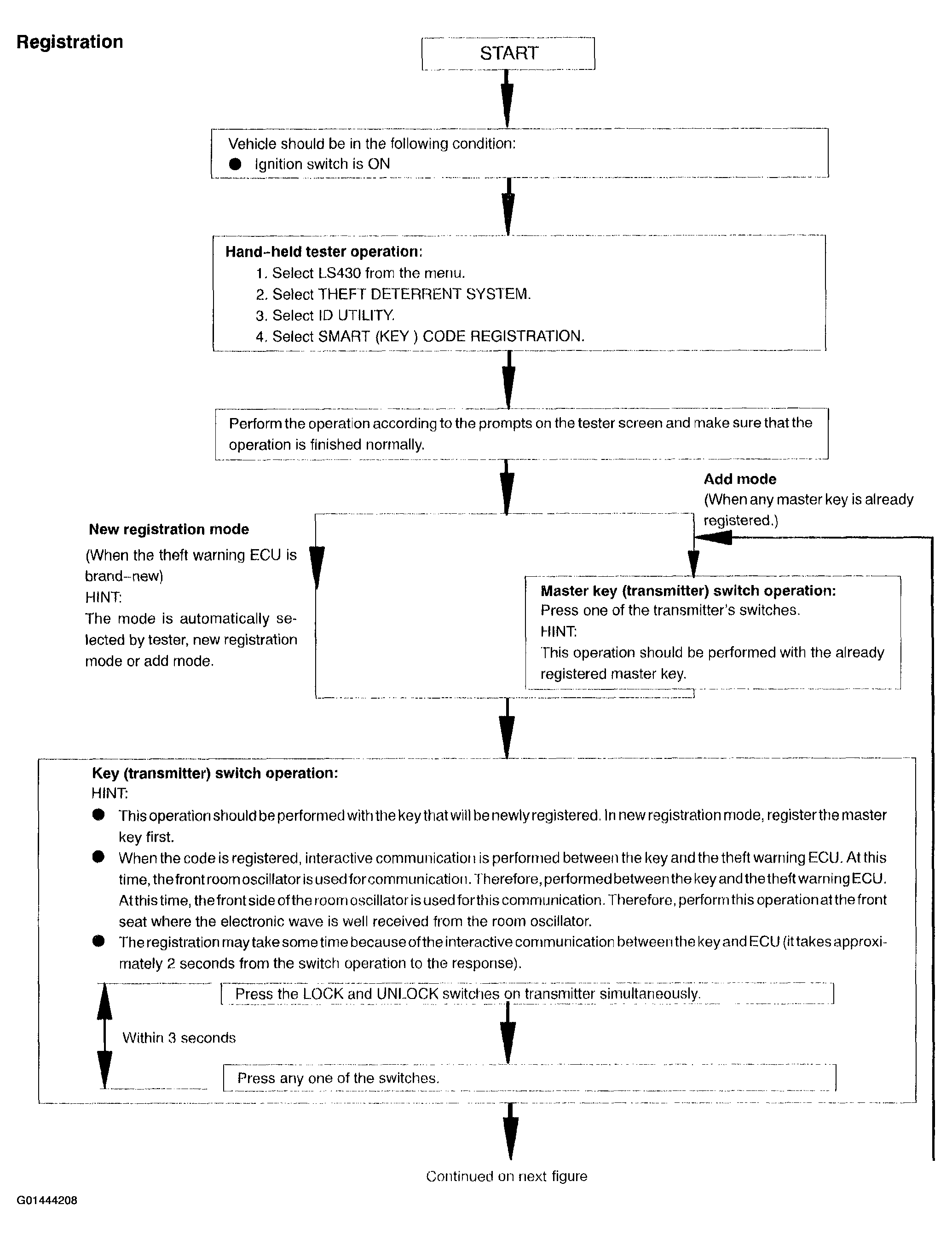
  1. DESCRIPTION OF REGISTRATION 

    NT:

    • Smart key code is the same as recognition codes for the wireless transmitter. Registering a smart key code enables both the smart key system and the wireless door lock control system to be operated.
    • Code registration is needed when the theft warning ECU (theft deterrent ECU) or smart key is replaced with a new one.
    • There are 2 types of keys: a master key that has a trunk open switch and a sub-key that does not have a trunk open switch.
    • The smart key system functions can be operated only by a master key.
    1. Select the operation mode from the following:
      • New registration mode (When theft warning ECU is replaced):

        The new registration mode is used when the theft warning ECU is replaced with a new ECU. In this mode, be sure to register a master key code first. Otherwise, you cannot proceed to the add mode for registering other keys. If a sub key code is registered first, pressing one of the transmitter's switches (master key (transmitter) switch operation in the add mode* ) to try to make an additional key registration erases the registered sub key code.

        * Refer to the registration flowchart on the next page.

      • Add mode:

        The add mode is used when a new key is added.

      • Erase mode:

        The erase mode is used to erase all the key codes except for the code for the master key that is used during erasure mode. Use this mode in such a case where the key is lost.

      • Confirmation mode:

        The confirmation mode is used to confirm the number of key codes (master key and sub key) that are registered in the theft warning ECU. During key code registration mode (new registration mode or add mode), you can confirm the number of registered key codes on the tester's screen, "SMART (KEY) CODE REGISTRATION".

    2. Perform the code registration and the code erasure according to the flowcharts (see step 2 and 3).

      HINT:

      • Up to 5 master keys and 3 sub-keys can be registered in the theft warning ECU.
    3. Register a new key number or change the key number according tot he flowcharts (see step 4 and 5). When the theft warning ECU is replaced or all the key cylinders are replaced, be sure to register a new key number or change the key number in the theft warning ECU.

    HINT:

    A key number is a 5 digit code stamped on the key number plate.

  2. REGISTRATION OF NEW AND ADDITIONAL SMART KEY CODE 
    1. Register a smart key code using the hand-held tester.

      Registration 

      Fig 1: Hand-Held Tester Display Flow Chart (1 Of 2)
      G01444208Courtesy of © TOYOTA, LICENSE AGREEMENT TMS1002
    Fig 2: Hand-Held Tester Display Flow Chart (2 Of 2)
    G01444209Courtesy of © TOYOTA, LICENSE AGREEMENT TMS1002

    HINT:

    • A brief outline of procedures for key code registration is shown on this page. For more detailed information, please refer to the hand-held tester screen instruction.
    • The number of currently registered codes can be checked out on the first screen, "SMART (KEY) CODE REGISTRATION".
  3. ERASURE OF SMART KEY CODE 
    1. Erase the smart key codes using the hand-held tester.

      Erasure Flowchart 

      Fig 3: Hand-Held Tester Display Flow Chart - Erasure Flowchart
      G01444210Courtesy of © TOYOTA, LICENSE AGREEMENT TMS1002

    HINT:

    A brief outline of procedures for key code registration is shown on this page. For more detailed information, please refer to the hand-held tester screen instruction.

  4. RESET OF SMART KEY CODE
    1. Reset the smart key codes using the hand-held tester.

      Reset Flowchart 

      Fig 4: Hand-Held Tester Display Flow Chart - Reset Of Smart Key Code
      G01444211Courtesy of © TOYOTA, LICENSE AGREEMENT TMS1002

    HINT:

    • A brief outline of procedures for key code reset is shown on this page. For more detailed information, please refer to the hand-held tester screen instruction.
    • SEED NUMBER is a 6 digit code.
    • PASS-CODE NUMBER is a 6 digit code.
    • Reset mode will take approximately 16 minutes to complete.
  5. REGISTRATION OF KEY NUMBER
    1. Register a new key number using the hand-held tester.

      HINT:

      • Be sure to perform this operation when the theft warning ECU is replaced with a new ECU. This is for registering the vehicle's ID in the theft warning ECU.
      • Key number is stamped on key number plate.

      Key Number Registration Flowchart 

      Fig 5: Hand-Held Tester Display Flow Chart - Key Number Registration Flowchart
      G01444212Courtesy of © TOYOTA, LICENSE AGREEMENT TMS1002
    2. Change the key number using the hand-held tester.

    HINT:

    In such a case where all the key cylinders are replaced, the vehicle's key number is changed. Be sure to perform this operation to change the key number registered in the theft warning ECU.

    • Key number is stamped on key number plate.

    Key Number Change Flowchart 

    Fig 6: Hand-Held Tester Display Flow Chart - Key Number Change Flowchart
    G01444213Courtesy of © TOYOTA, LICENSE AGREEMENT TMS1002