LEMON Manuals: Even more car manuals for everyone
Home >> Kia >> 2021 >> Forte EX >> Repair and Diagnosis (Single Page) >> Steering >> Steering Column >> Motor Driven Power Steering System >> Repair Procedures >> A/S Repair Procedures >> MDPS System A/S Workflow >> Notes

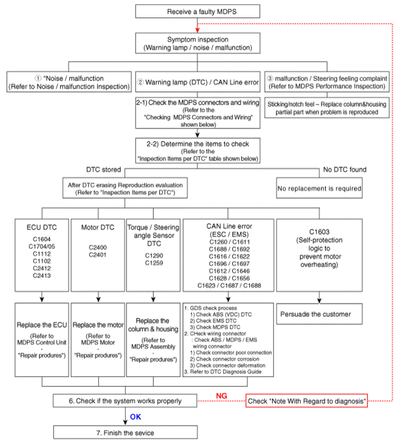
MDPS System A/S Workflow: Notes

G13304645Courtesy of KIA MOTORS AMERICA, INC.