LEMON Manuals: Even more car manuals for everyone
Home >> Kia >> 2020 >> Optima Plug-In Hybrid EX >> Repair and Diagnosis >> Steering >> Steering Column >> Motor Driven Power Steering System (PHEV) >> Repair Procedures >> A/S Repair Procedures >> MDPS System A/S Workflow >> Notes

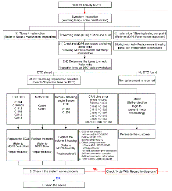
MDPS System A/S Workflow: Notes

G13362551Courtesy of KIA MOTORS AMERICA, INC.