LEMON Manuals: Even more car manuals for everyone
Home >> Kia >> 2020 >> Cadenza Technology >> Repair and Diagnosis (Single Page) >> Steering >> Steering Column >> Motor Driven Power Steering System >> Repair Procedures >> A/S Repair Procedures >> MDPS System A/S Workflow

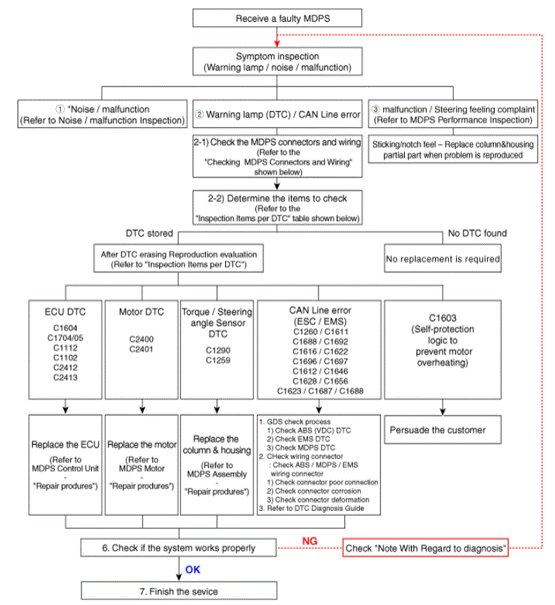
MDPS System A/S Workflow

G13404145Courtesy of KIA MOTORS AMERICA, INC.
G13404146Courtesy of KIA MOTORS AMERICA, INC.

(2) Warning lamp (DTC)/CAN Line error