LEMON Manuals: Even more car manuals for everyone
Home >> Kia >> 2019 >> Forte EX >> Repair and Diagnosis (Single Page) >> Steering >> Steering Column >> Motor Driven Power Steering >> Repair Procedures >> A/S Repair Procedures >> MDPS System A/S Workflow

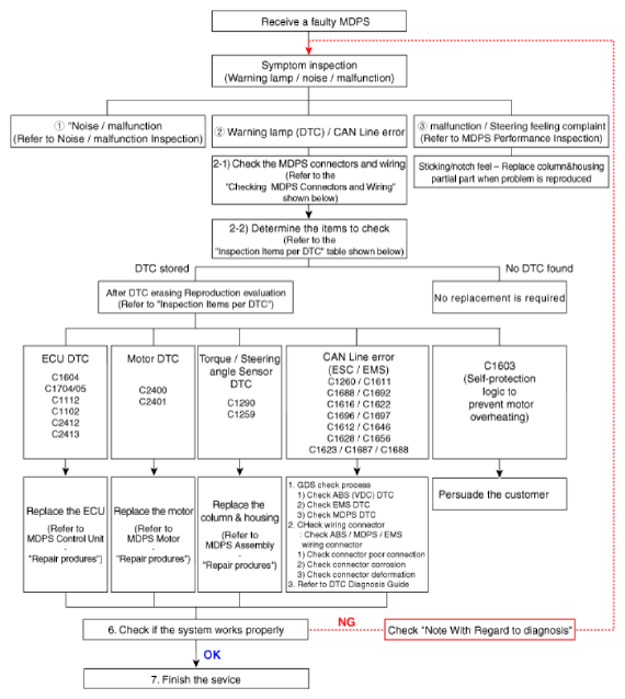
MDPS System A/S Workflow

G12831523Courtesy of KIA MOTORS AMERICA, INC.