LEMON Manuals: Even more car manuals for everyone
Home >> Kia >> 2017 >> Optima EX >> Repair and Diagnosis (Single Page) >> Steering >> Electronic Steering >> Motor Driven Power Steering System (Except HEV) >> Repair Procedures >> A/S Repair Procedures >> MDPS System A/S Workflow

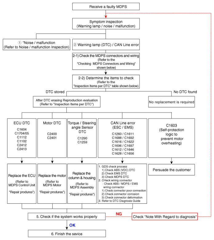
MDPS System A/S Workflow

Fig 1: MDPS System A/S Workflow Chart
G12141624Courtesy of KIA MOTORS AMERICA, INC.

(1) Checking Connectors and Wiring 

  1. Checking Connectors and Wiring.

    Check for damage, push-back, or improper connection in each connector and wiring.

    1. Check the wiring on the vehicle side.
      • Check for open/short - circuit due to faulty connection, damage, or foreign substance.
      G12141625
      G12141626
      Pin no Pin name Pin no Pin name
      1 Battery (+) 1 Ignition
      2 Battery (-) 2 -
      - 3 -
      4 -
      5 -
      6 -
      7 CAN_High
      8 CAN_Low
    2. Check the wiring on the ECU side (motor 3 - phase power).
      • Check for open/short - circuit due to faulty connection, damage, or foreign substance.
      Fig 2: Checking Wiring On ECU Side (Motor 3-Phase Power)
      G12141627Courtesy of KIA MOTORS AMERICA, INC.
    3. Check the motor connector.
      • Terminal Expansion and damage.
      Fig 3: Checking Motor Connector Terminal Expansion And Damage
      G12141628Courtesy of KIA MOTORS AMERICA, INC.
      NOTE:
      • Must be replaced the MDPS motor if occur terminal expansion and damage.
    4. Check the motor wiring.
      Fig 4: Checking Motor Wiring
      G12141629Courtesy of KIA MOTORS AMERICA, INC.
      NOTE:
      • Must be replaced the MDPS motor if occur damage or problem.

    (2) Inspection Items per DTC 

    Item DTC Description Inspection Service action
    CAN Line C1611 CAN TIME OUT EMS
    1. Check the GDS
    2. Check connector tightening.
    3. Inspection the ECU CAN connector
    4. Check MDPS vehicle grounding status
    EMS CAN line inspection
    - C1616 CAN BUS OFF - Check the chassis can line
    - C1622 Vehicle speed signal error - EMS (Engine ECU) inspection
    - C1290 Torque sensor signal error Inspection after DTC clear. Replace column & housing if phenomenon persists
    Torque sensor - - Check connector tightening. -
    - C1112 Torque sensor supply voltage error Check torque sensor and ECU connection connector. Replace ECU if phenomenon persists
    ECU C1604 ECU hardware error Inspection the ECU connector after Clear DTC Replace ECU if phenomenon persists
    ECU C1705 EPS Module pre-charge circuit malfunction Inspection the ECU connector after Clear DTC. Replace ECU if phenomenon persists
    Motor C2400 Motor signal error Inspection the Motor connector after Clear DTC. Replace Motor if phenomenon persists
    Motor C2401 Motor position sensor error Inspection the Motor connector after Clear DTC. Replace Motor if phenomenon persists
    ECU/Motor C2412 Motor current error Inspection the Motor/ECU connector after Clear DTC. First ECU replacement Replace Motor if phenomenon persists
    Steering angle sensor C1259 Steering Angle sensor error Steering angle reset after DTC clear
    Check connector tightening.
    Replace column & housing if phenomenon persists
    Battery C1102 Battery voltage low Check battery voltage status Battery voltage charging
    Cooperative control C1696 SPAS signal error SPAS Inspection Clear DTC.
    - C1697 - - -
    Cooperative control C1612 TCU signal error TCU Inspection Clear DTC.
    - C1646 - - -
    Cooperative control C1628 Cluster signal error Cluster Inspection Clear DTC.
    - C1656 - - -
    Cooperative control C1692 VSM signal error VSM Inspection Clear DTC.
    - C1693 - - -
    ABS C1260 Steering angle signal error Checking after steering angle reset
    If the C1259 code does not occur, check the CAN line.
    Steering angle reset Clear DTC.