LEMON Manuals: Even more car manuals for everyone
Home >> Kia >> 2005 >> Optima EX, 2.7 8 >> Repair and Diagnosis >> Engine Performance >> Engine Control Systems >> Engine Control System/Fuel System - 2.7L >> MFI Control System >> Fuel Tank Pressure Sensor (Ftps) >> Troubleshooting Procedures

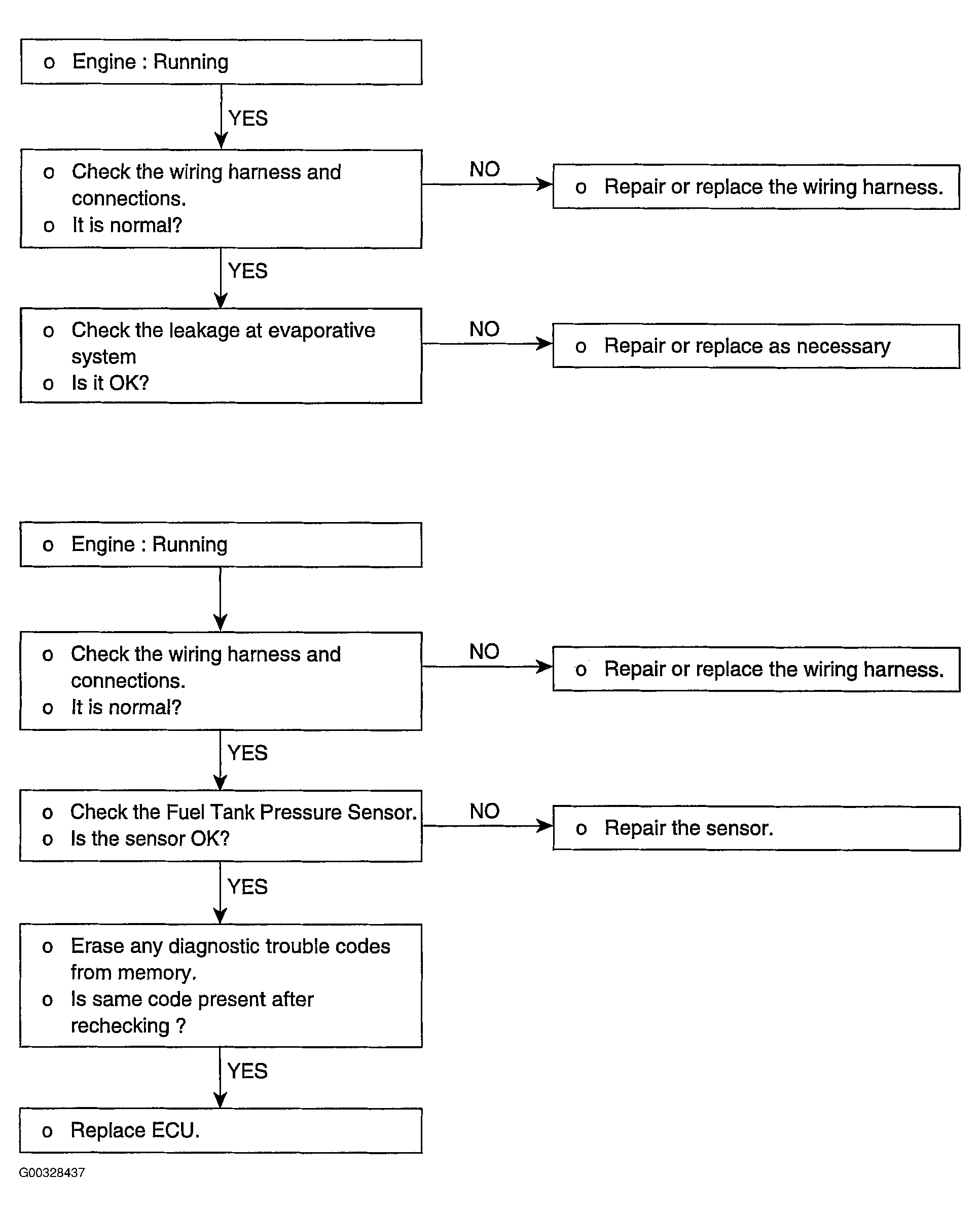
Troubleshooting Procedures

Fig 1: Fuel Tank Pressure Sensor (FTPS) Troubleshooting Flow Chart
G00328437Courtesy of KIA MOTORS AMERICA, INC.