LEMON Manuals: Even more car manuals for everyone
Home >> Jeep >> 1990 >> Wrangler Base, 2.5 E >> Repair and Diagnosis >> Engine Performance >> System >> Engine Controls - System/Component Tests - CARBURETED >> Vacuum Advance Test >> Functional Test

Functional Test

  1. Set parking brake. Shift automatic transmission to Park or manual transmission to Neutral. Start engine and attain normal operating temperature. Ensure A/C is off, if equipped. Stop engine.
  2. On 4.2L, disconnect 3-wire connector from 4 in. and 10 in. Hg vacuum switch assemblies.
  3. On all engines, disconnect and plug vacuum hose connected to distributor vacuum advance mechanism. Connect hand vacuum pump to vacuum advance. Connect timing light at No. 1 spark plug. Connect tachometer to coil negative terminal.
  4. Start engine. Increase RPM and apply 18 in. Hg vacuum. Observe ignition timing degree scale and index with timing light. The ignition timing should advance smoothly.
    NOTE: On 4.2L, a defective MCU or ignition system control unit can alter ignition timing.
  5. Remove timing light and tachometer. Ensure all connections are correct.
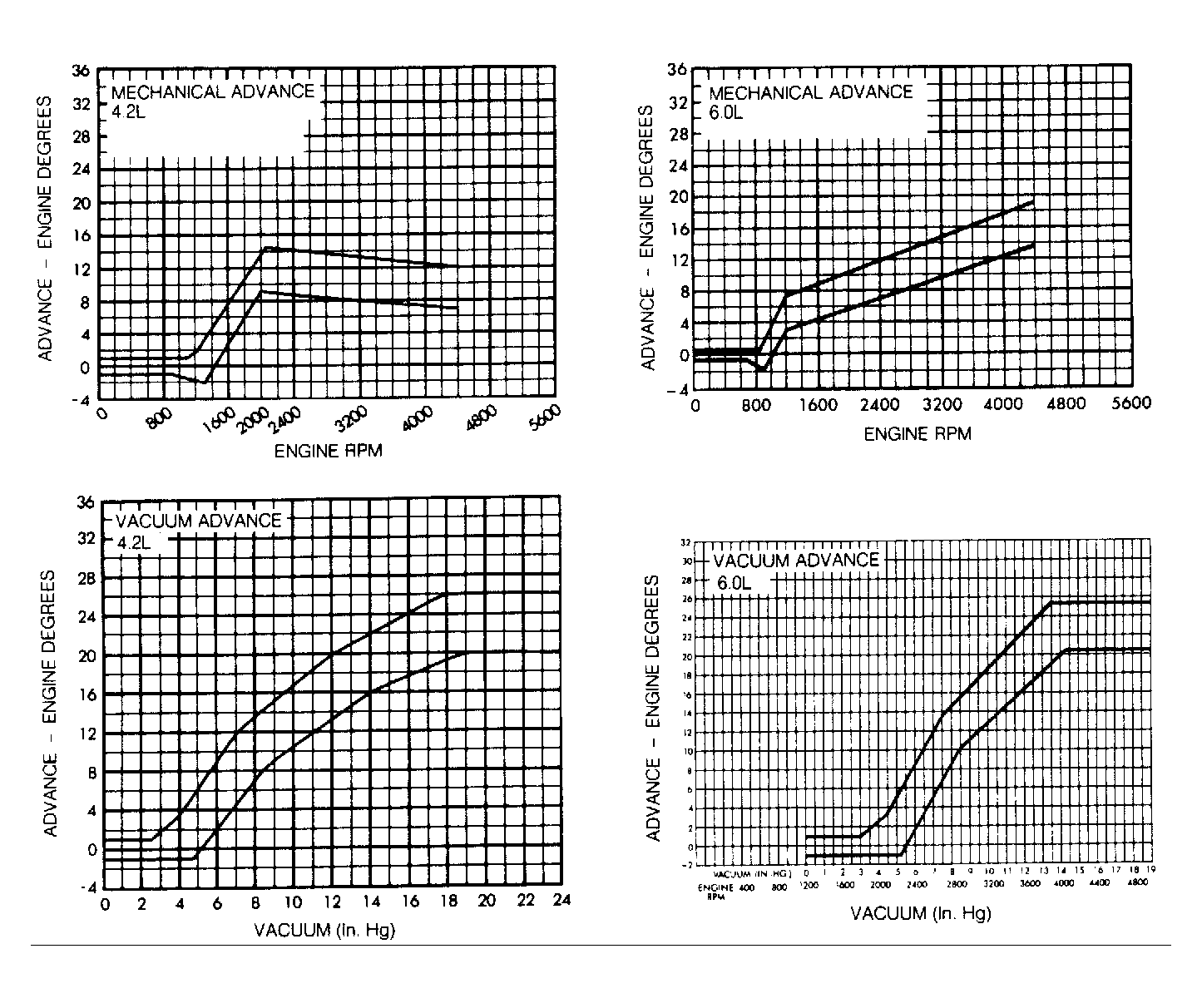
Fig 1: Distributor Ignition Advance Curves
G90B15876Courtesy of CHRYSLER MOTORS.