LEMON Manuals: Even more car manuals for everyone
Home >> Jeep >> 1990 >> Wrangler Base, 2.5 E >> Repair and Diagnosis >> Engine Performance >> System >> Engine Controls - System/Component Tests - CARBURETED >> Knock Sensor

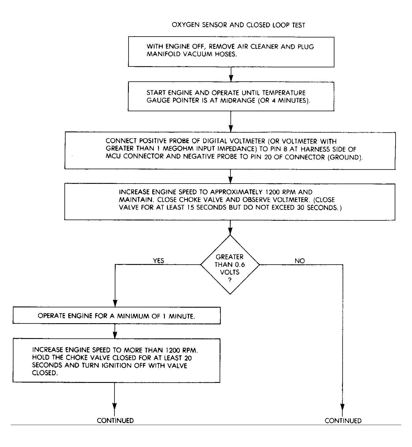
Knock Sensor

See IGNITION SYSTEM in this article. Also see Figure and Figure .