LEMON Manuals: Even more car manuals for everyone
Home >> Isuzu >> 2004 >> Axiom Base, 4WD >> Repair and Diagnosis >> Engine Performance >> System >> Engine Control System - Introduction >> On-Board Diagnostic (OBD-II) >> On-Board Diagnostic (OBD-II) Information >> Plotting Graph Flow Chart (Plotting Graph after Obtaining Vehicle Information)

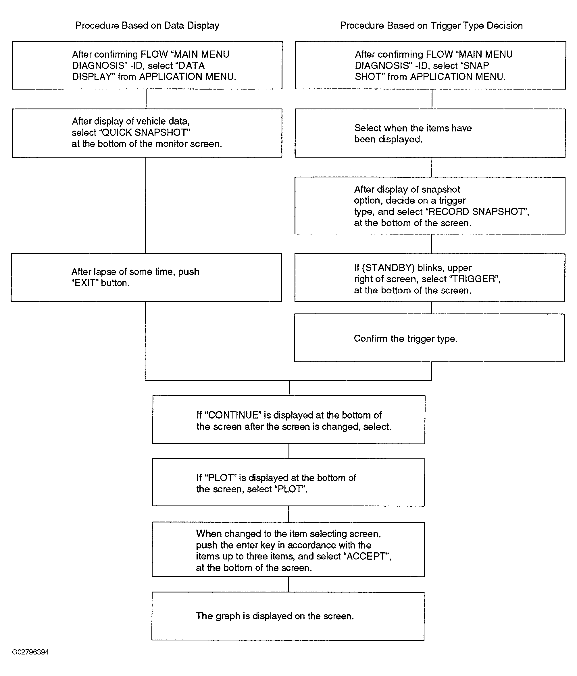
Plotting Graph Flow Chart (Plotting Graph after Obtaining Vehicle Information)

Fig 1: Plotting Graph Flow Chart
G02796394Courtesy of ISUZU MOTOR CO.